Официальное опубликование правовых актов
ОФИЦИАЛЬНОЕ ОПУБЛИКОВАНИЕ
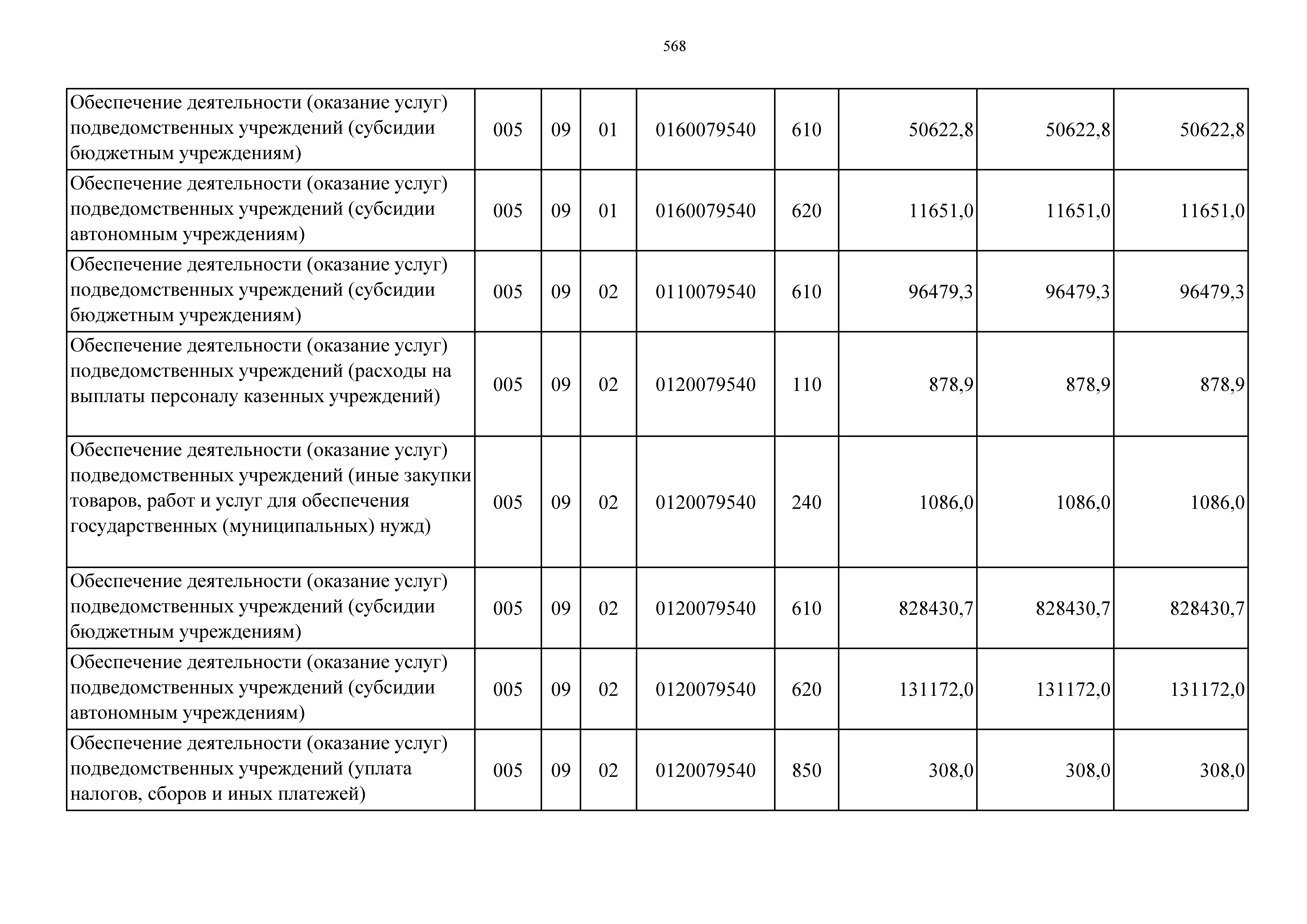
Закон Кемеровской области - Кузбасса от 31.03.2021 № 27-ОЗ "О внесении изменений в Закон Кемеровской области – Кузбасса "Об областном бюджете на 2021 год и на плановый период 2022 и 2023 годов"
Номер опубликования: 4200202104060011
Дата опубликования: 06.04.2021
Страница №568 из 924: