Официальное опубликование правовых актов
ОФИЦИАЛЬНОЕ ОПУБЛИКОВАНИЕ
Закон Кемеровской области - Кузбасса от 15.04.2021 № 32-ОЗ "О внесении изменений в Закон Кемеровской области "О статусе и границах муниципальных образований"
Номер опубликования: 4200202104190004
Дата опубликования: 19.04.2021
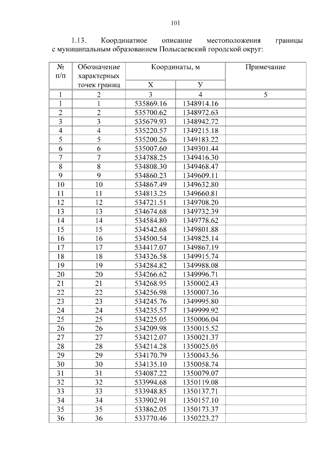
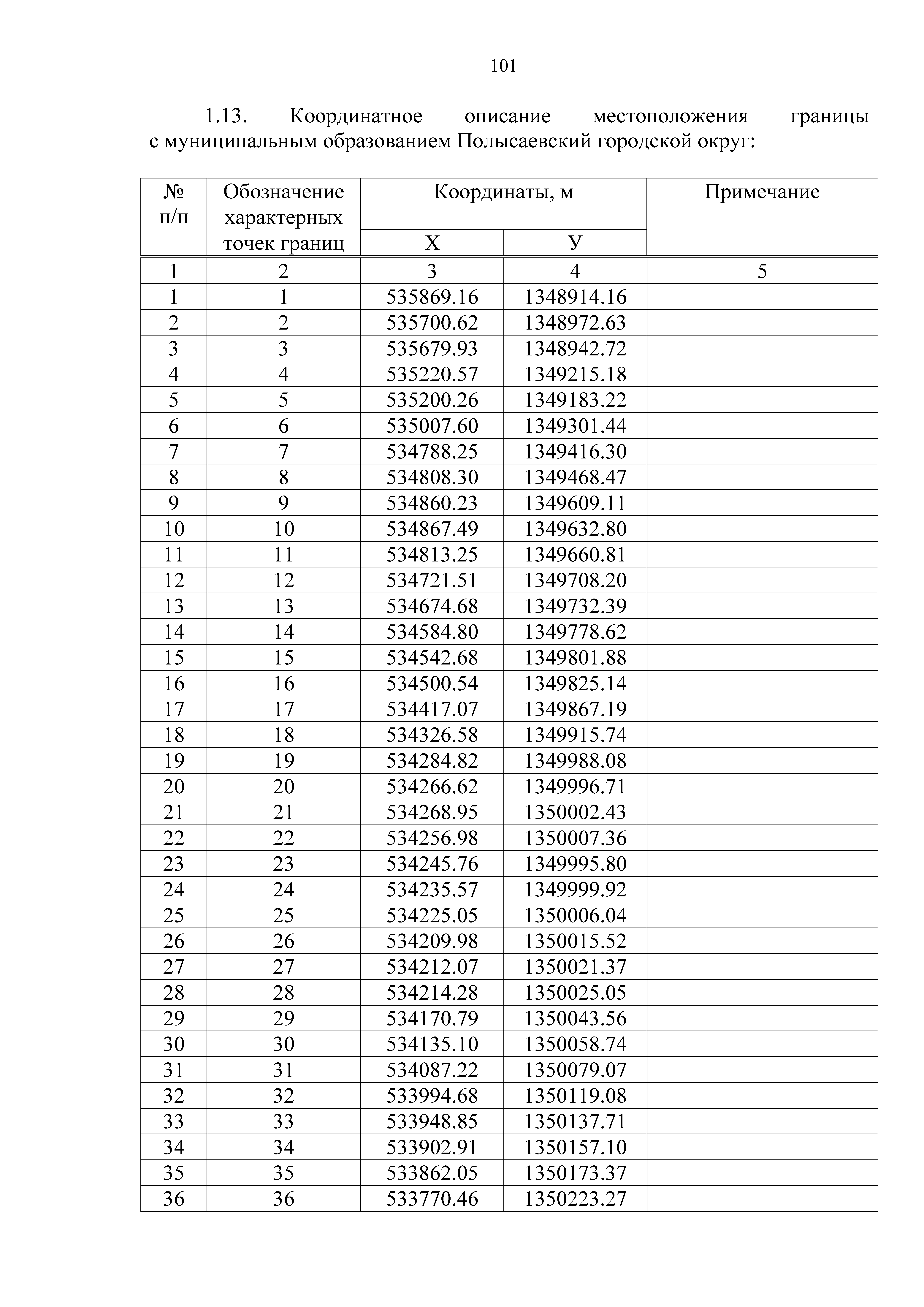
Страница №101 из 234: