Официальное опубликование правовых актов
ОФИЦИАЛЬНОЕ ОПУБЛИКОВАНИЕ
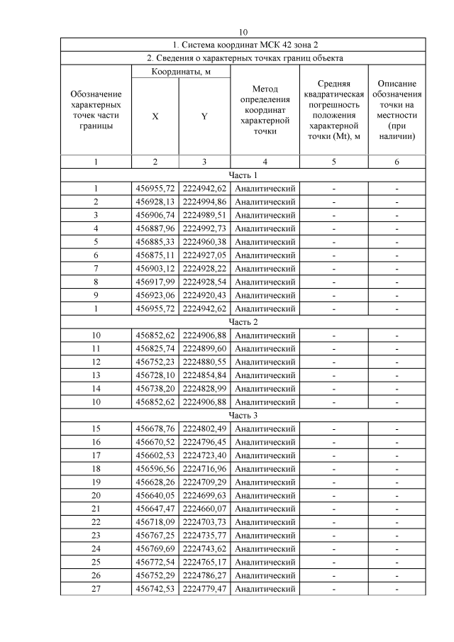
Постановление Правительства Кемеровской области - Кузбасса от 04.05.2021 № 235
"Об изменении площадей и границ земель, на которых расположены леса, указанные в пункте 4 части 1 статьи 114 Лесного кодекса Российской Федерации, Новокузнецкого лесничества Кемеровской области"
Номер опубликования: 4200202105060004
Дата опубликования: 06.05.2021
Страница №10 из 20:
Увеличить