Официальное опубликование правовых актов
ОФИЦИАЛЬНОЕ ОПУБЛИКОВАНИЕ
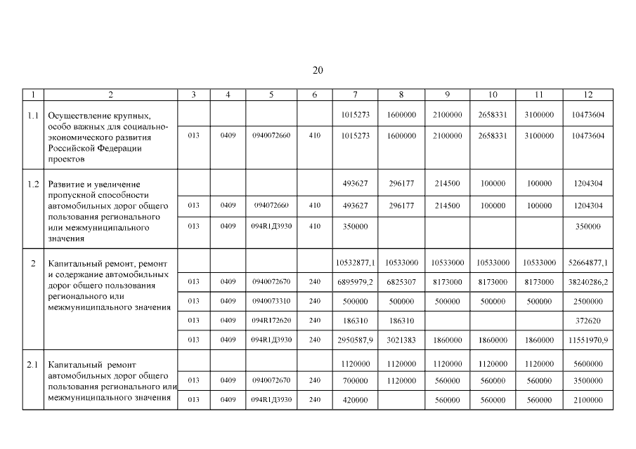
Постановление Правительства Кемеровской области - Кузбасса от 15.06.2021 № 328
"О внесении изменений в постановление Коллегии Администрации Кемеровской области от 30.06.2015 № 212 "Об утверждении региональной программы "Развитие сети автомобильных дорог общего пользования Кемеровской области" на 2015-2022 годы"
Номер опубликования: 4200202106180003
Дата опубликования: 18.06.2021
Страница №20 из 55:
Увеличить