Официальное опубликование правовых актов
ОФИЦИАЛЬНОЕ ОПУБЛИКОВАНИЕ
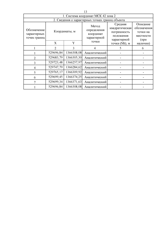
Постановление Правительства Кемеровской области - Кузбасса от 22.06.2021 № 356
"Об изменении площадей и границ земель, на которых расположены леса, указанные в пункте 4 части 1 статьи 114 Лесного кодекса Российской Федерации, Беловского лесничества Кемеровской области"
Номер опубликования: 4200202106250002
Дата опубликования: 25.06.2021
Страница №13 из 13:
Увеличить