Официальное опубликование правовых актов
ОФИЦИАЛЬНОЕ ОПУБЛИКОВАНИЕ
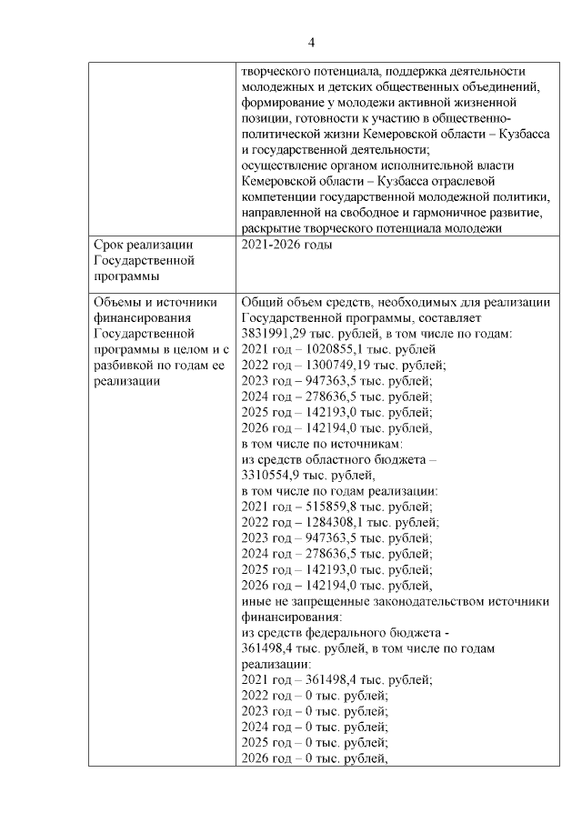
Постановление Правительства Кемеровской области - Кузбасса от 30.06.2021 № 376
"О внесении изменений в постановление Правительства Кемеровской области – Кузбасса от 20.10.2020 № 630 "Об утверждении государственной программы Кемеровской области – Кузбасса "Туризм, молодежная политика и общественные отношения Кузбасса" на 2021 - 2024 годы"
Номер опубликования: 4200202107050001
Дата опубликования: 05.07.2021
Страница №4 из 40:
Увеличить