Официальное опубликование правовых актов
ОФИЦИАЛЬНОЕ ОПУБЛИКОВАНИЕ
Закон Кемеровской области - Кузбасса от 30.06.2021 № 62-ОЗ "О внесении изменений в Закон Кемеровской области – Кузбасса "Об областном бюджете на 2021 год и на плановый период 2022 и 2023 годов"
Номер опубликования: 4200202107080001
Дата опубликования: 08.07.2021
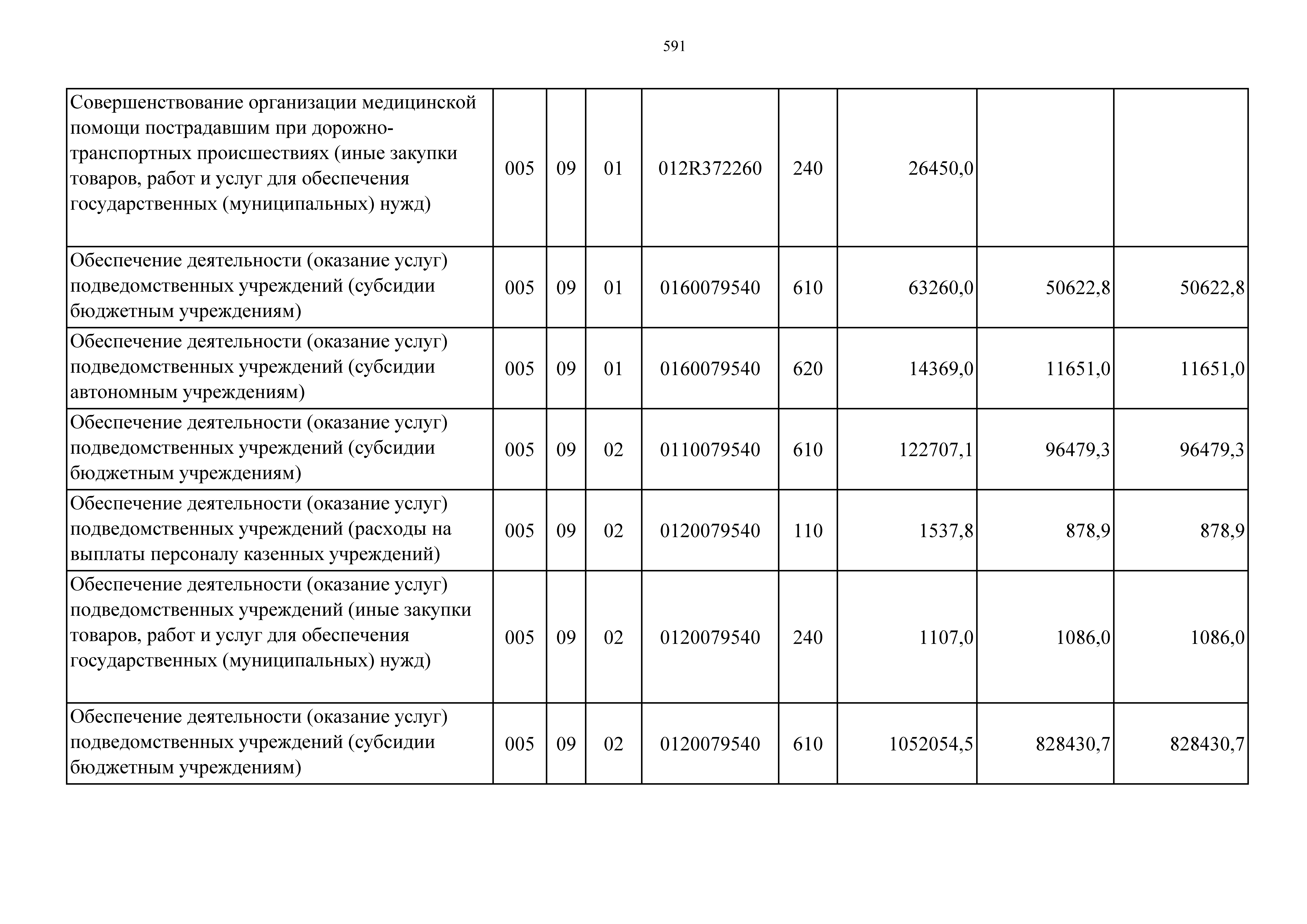
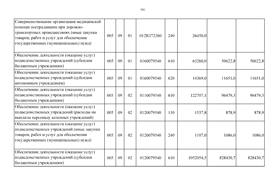
Страница №591 из 975: