Официальное опубликование правовых актов
ОФИЦИАЛЬНОЕ ОПУБЛИКОВАНИЕ
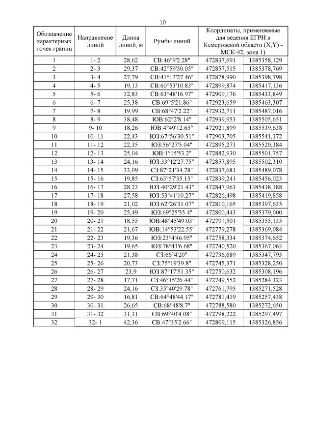
Постановление Правительства Кемеровской области - Кузбасса от 02.08.2021 № 464
"Об изменении площадей и границ земель, на которых расположены леса, указанные в пункте 4 части 1 статьи 114 Лесного кодекса Российской Федерации, Прокопьевского лесничества Кемеровской области"
Номер опубликования: 4200202108060005
Дата опубликования: 06.08.2021
Страница №10 из 10:
Увеличить