Официальное опубликование правовых актов
ОФИЦИАЛЬНОЕ ОПУБЛИКОВАНИЕ
Постановление Правительства Кемеровской области - Кузбасса от 14.09.2021 № 558
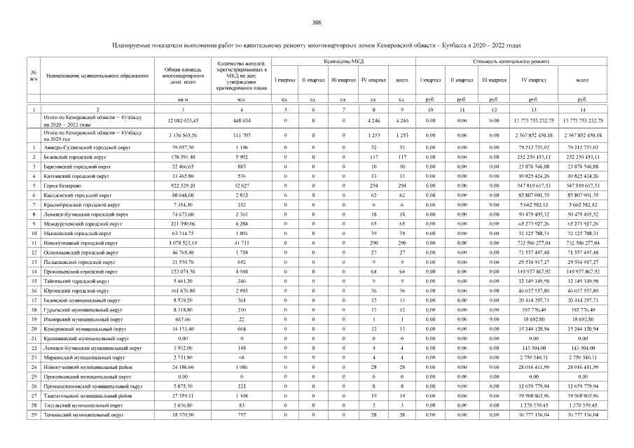
"О внесении изменений в постановление Правительства Кемеровской области – Кузбасса от 28.10.2019 № 625 "Об утверждении краткосрочного плана реализации региональной программы капитального ремонта общего имущества в многоквартирных домах Кемеровской области - Кузбасса на 2014 – 2043 годы на 2020 – 2022 годы"
Номер опубликования: 4200202109160005
Дата опубликования: 16.09.2021
Страница №306 из 308: