Официальное опубликование правовых актов
ОФИЦИАЛЬНОЕ ОПУБЛИКОВАНИЕ
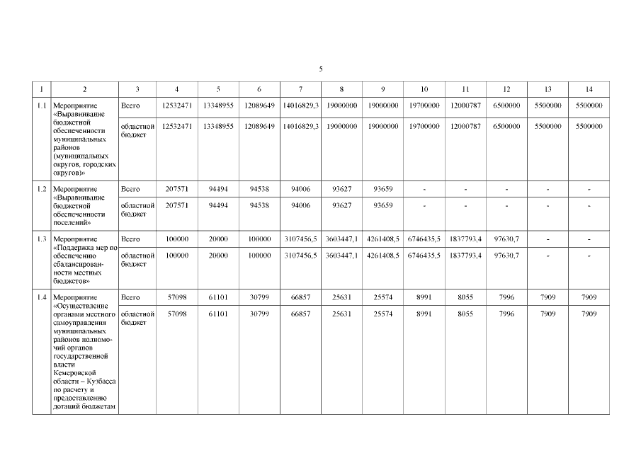
Постановление Правительства Кемеровской области - Кузбасса от 17.09.2021 № 559
"О внесении изменений в постановление Коллегии Администрации Кемеровской области от 08.10.2013 № 421 "Об утверждении государственной программы Кемеровской области – Кузбасса "Управление государственными финансами Кузбасса" на 2014 – 2023 годы"
Номер опубликования: 4200202109210001
Дата опубликования: 21.09.2021
Страница №5 из 22:
Увеличить