Официальное опубликование правовых актов
ОФИЦИАЛЬНОЕ ОПУБЛИКОВАНИЕ
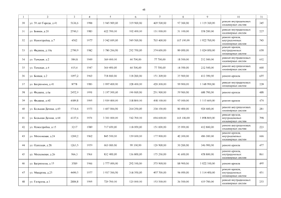
Постановление Правительства Кемеровской области - Кузбасса от 22.09.2021 № 566
"О внесении изменений в постановление Коллегии Администрации Кемеровской области от 09.10.2017 № 524 "Об итогах реализации региональной адресной программы капитального ремонта жилищного фонда на 2008 год"
Номер опубликования: 4200202109270009
Дата опубликования: 27.09.2021
Страница №45 из 85: