Официальное опубликование правовых актов
ОФИЦИАЛЬНОЕ ОПУБЛИКОВАНИЕ
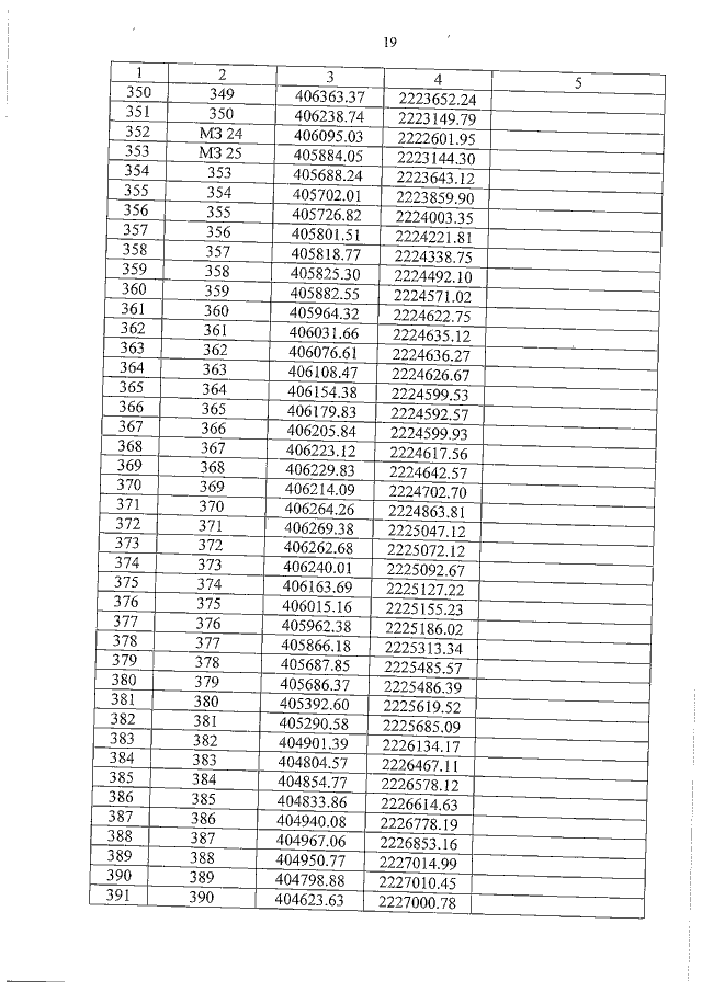
Закон Кемеровской области - Кузбасса от 20.09.2021 № 82-ОЗ
"О внесении изменений в приложение 1 к Закону Кемеровской области "О статусе и границах муниципальных образований"
Номер опубликования: 4200202109270010
Дата опубликования: 27.09.2021
Страница №19 из 66:
Увеличить