Официальное опубликование правовых актов
ОФИЦИАЛЬНОЕ ОПУБЛИКОВАНИЕ
Закон Кемеровской области - Кузбасса от 29.10.2021
№ 103-ОЗ "О внесении изменений в Закон Кемеровской области – Кузбасса "Об областном бюджете на 2021 год и на плановый период 2022 и 2023 годов"
Номер опубликования: 4200202111030009
Дата опубликования: 03.11.2021
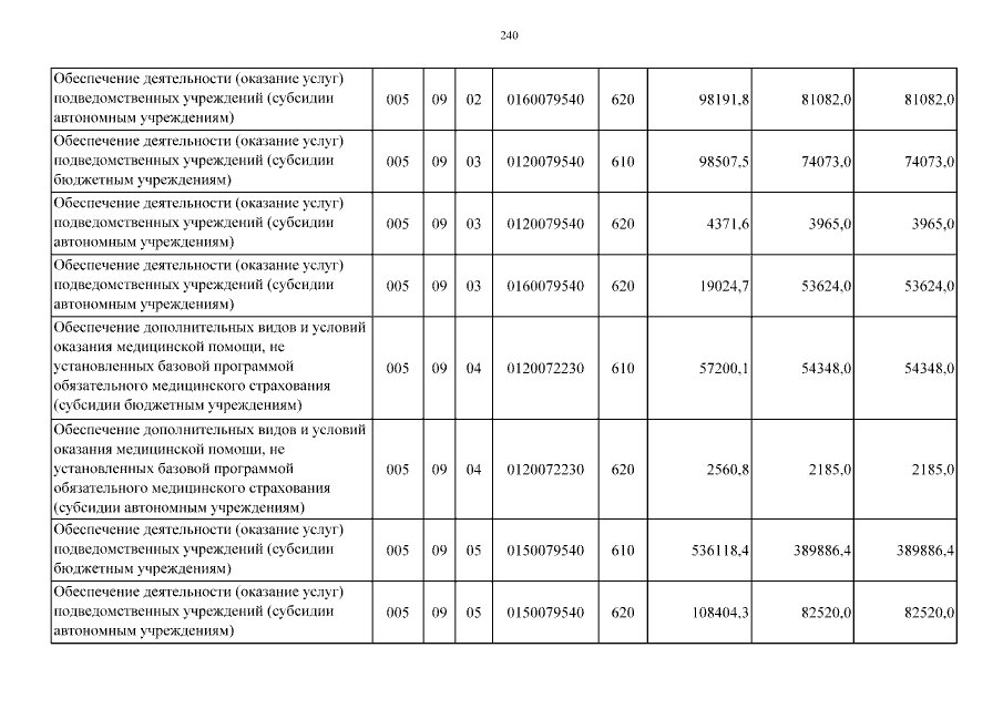
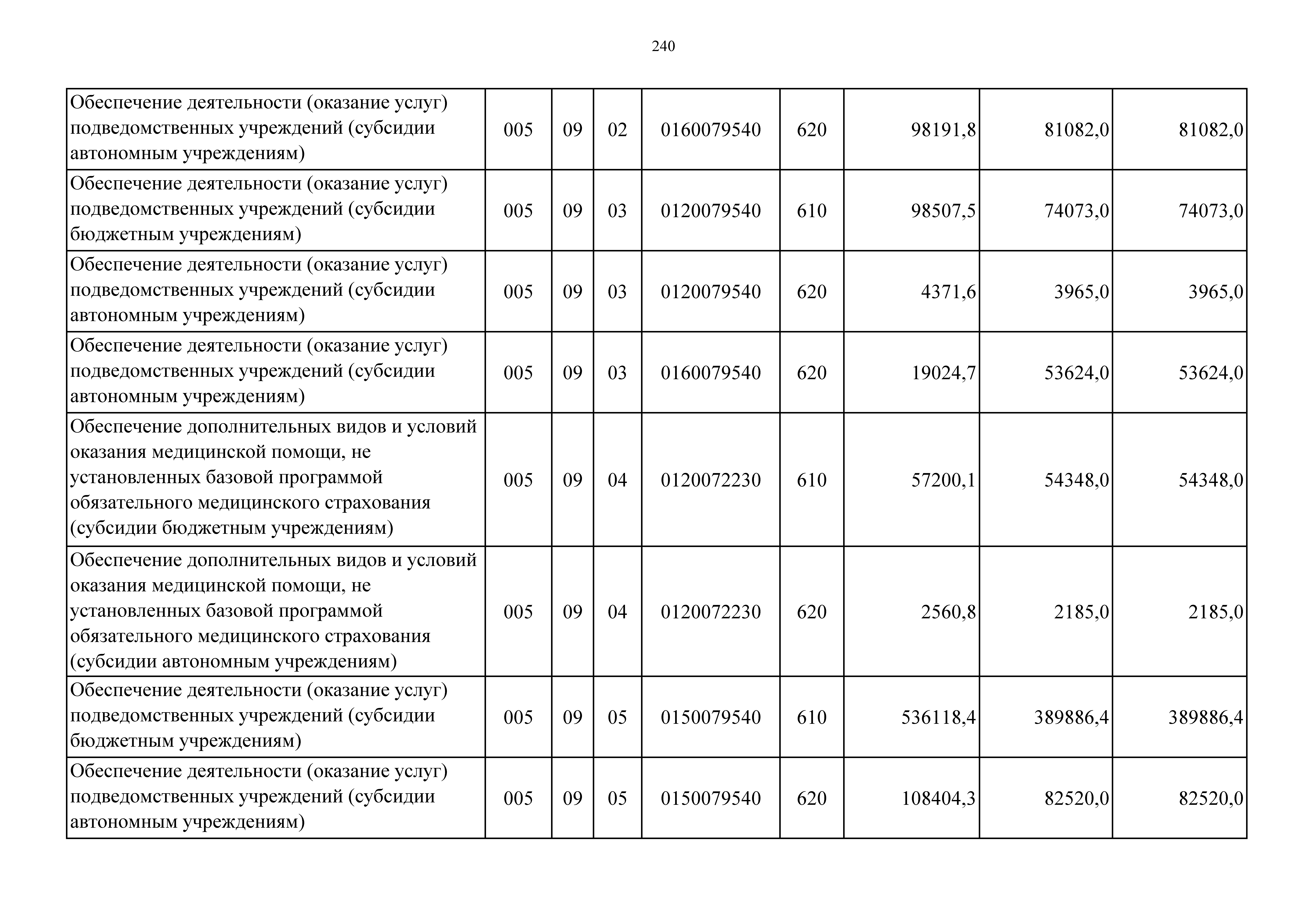
Страница №240 из 529: