Официальное опубликование правовых актов
ОФИЦИАЛЬНОЕ ОПУБЛИКОВАНИЕ
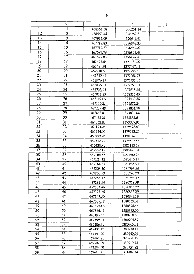
Закон Кемеровской области - Кузбасса от 02.12.2021 № 123-ОЗ "О внесении изменения в приложение 1 к Закону Кемеровской области "О статусе и границах муниципальных образований"
Номер опубликования: 4200202112080001
Дата опубликования: 08.12.2021
Страница №9 из 31:
Увеличить