Официальное опубликование правовых актов
ОФИЦИАЛЬНОЕ ОПУБЛИКОВАНИЕ
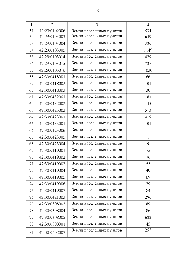
Постановление Правительства Кемеровской области - Кузбасса от 10.12.2021 № 735
"О внесении изменений в постановление Коллегии Администрации Кемеровской области от 26.12.2018 № 626 "Об утверждении перечня кадастровых кварталов, в границах которых предполагается проведение комплексных кадастровых работ в 2019 - 2024 годах"
Номер опубликования: 4200202112140001
Дата опубликования: 14.12.2021
Страница №5 из 10:
Увеличить