Официальное опубликование правовых актов
ОФИЦИАЛЬНОЕ ОПУБЛИКОВАНИЕ
Закон Кемеровской области - Кузбасса от 24.12.2021 № 137-ОЗ "О внесении изменений в Закон Кемеровской области "О перераспределении отдельных полномочий в области градостроительной деятельности и земельных отношений между органами местного самоуправления Шерегешского городского поселения Таштагольского муниципального района Кемеровской области – Кузбасса и органами государственной власти Кемеровской области – Кузбасса"
Номер опубликования: 4200202112270022
Дата опубликования: 27.12.2021
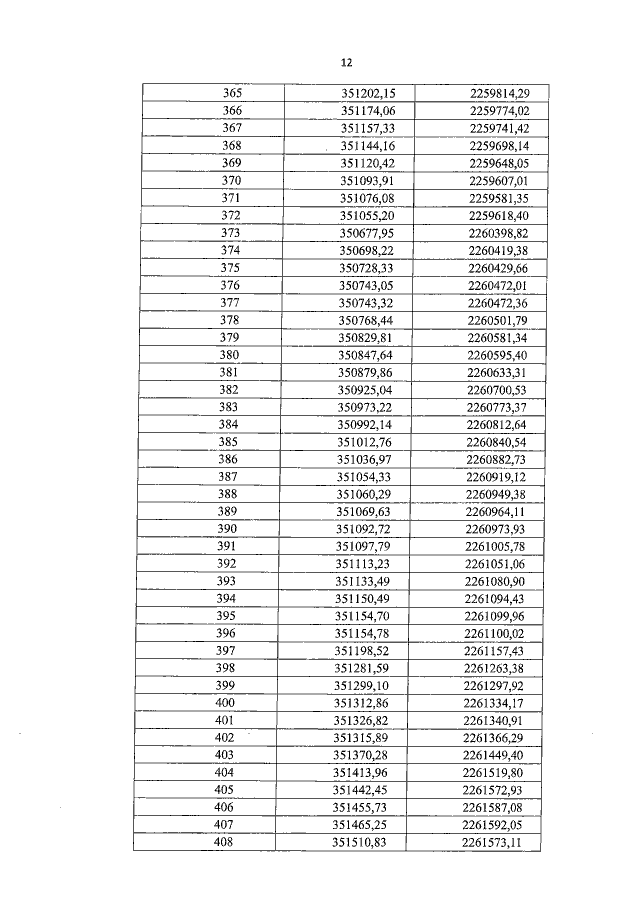
Страница №12 из 19:
Увеличить