Официальное опубликование правовых актов
ОФИЦИАЛЬНОЕ ОПУБЛИКОВАНИЕ
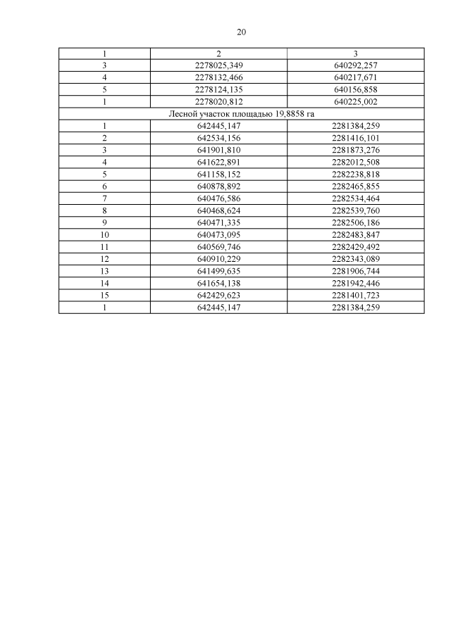
Постановление Правительства Кемеровской области - Кузбасса от 29.12.2021 № 824
"Об изменении площадей и границ земель, на которых расположены леса, указанные в пункте 3 части 1 статьи 114 Лесного кодекса Российской Федерации, Тисульского лесничества Кемеровской области"
Номер опубликования: 4200202112300016
Дата опубликования: 30.12.2021
Страница №20 из 25:
Увеличить