Официальное опубликование правовых актов
ОФИЦИАЛЬНОЕ ОПУБЛИКОВАНИЕ
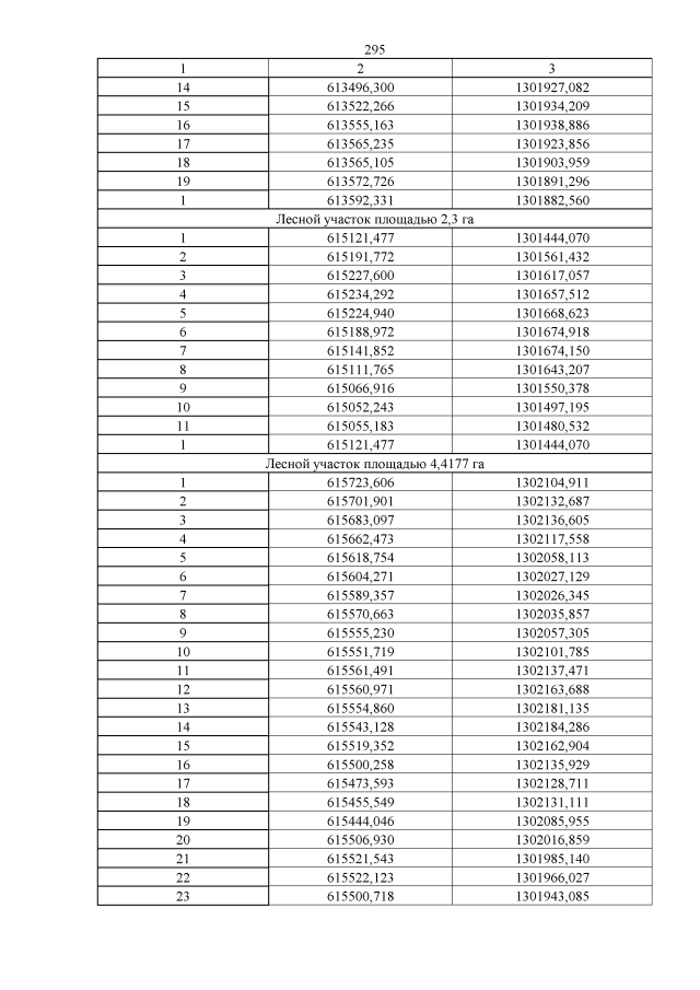
Постановление Правительства Кемеровской области - Кузбасса от 02.02.2022 № 55
"Об изменении площадей и границ земель, на которых расположены леса, указанные в пунктах 3 и 4 части 1 статьи 114 Лесного кодекса Российской Федерации, Кемеровского и Юргинского лесничеств Кемеровской области"
Номер опубликования: 4200202202070001
Дата опубликования: 07.02.2022
Страница №295 из 300:
Увеличить