Официальное опубликование правовых актов
ОФИЦИАЛЬНОЕ ОПУБЛИКОВАНИЕ
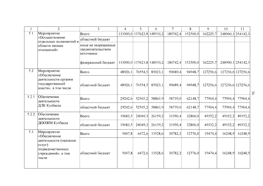
Постановление Правительства Кемеровской области - Кузбасса от 08.04.2022 № 198
"О внесении изменений в постановление Коллегии Администрации Кемеровской области от 08.11.2016 № 430 "Об утверждении государственной программы Кемеровской области - Кузбасса "Охрана, защита, воспроизводство, использование лесов и объектов животного мира Кузбасса" на 2017-2024 годы"
Номер опубликования: 4200202204130005
Дата опубликования: 13.04.2022
Страница №36 из 57:
Увеличить