Официальное опубликование правовых актов
ОФИЦИАЛЬНОЕ ОПУБЛИКОВАНИЕ
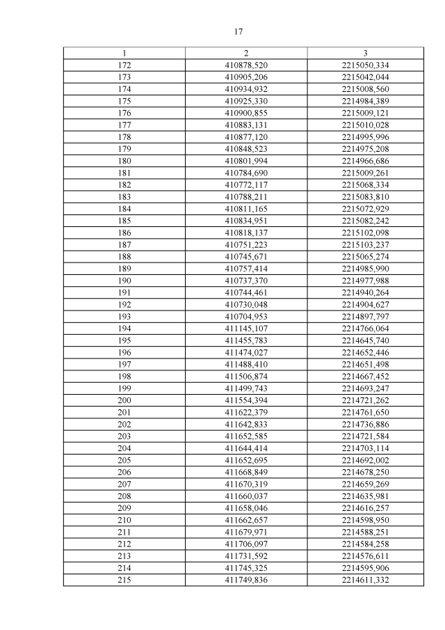
Постановление Правительства Кемеровской области - Кузбасса от 13.04.2022 № 205
"Об изменении площадей и границ земель, на которых расположены леса, указанные в пункте 3 части 1 статьи 114 Лесного кодекса Российской Федерации, Кузедеевского лесничества Кемеровской области"
Номер опубликования: 4200202204180013
Дата опубликования: 18.04.2022
Страница №17 из 36:
Увеличить