Официальное опубликование правовых актов
ОФИЦИАЛЬНОЕ ОПУБЛИКОВАНИЕ
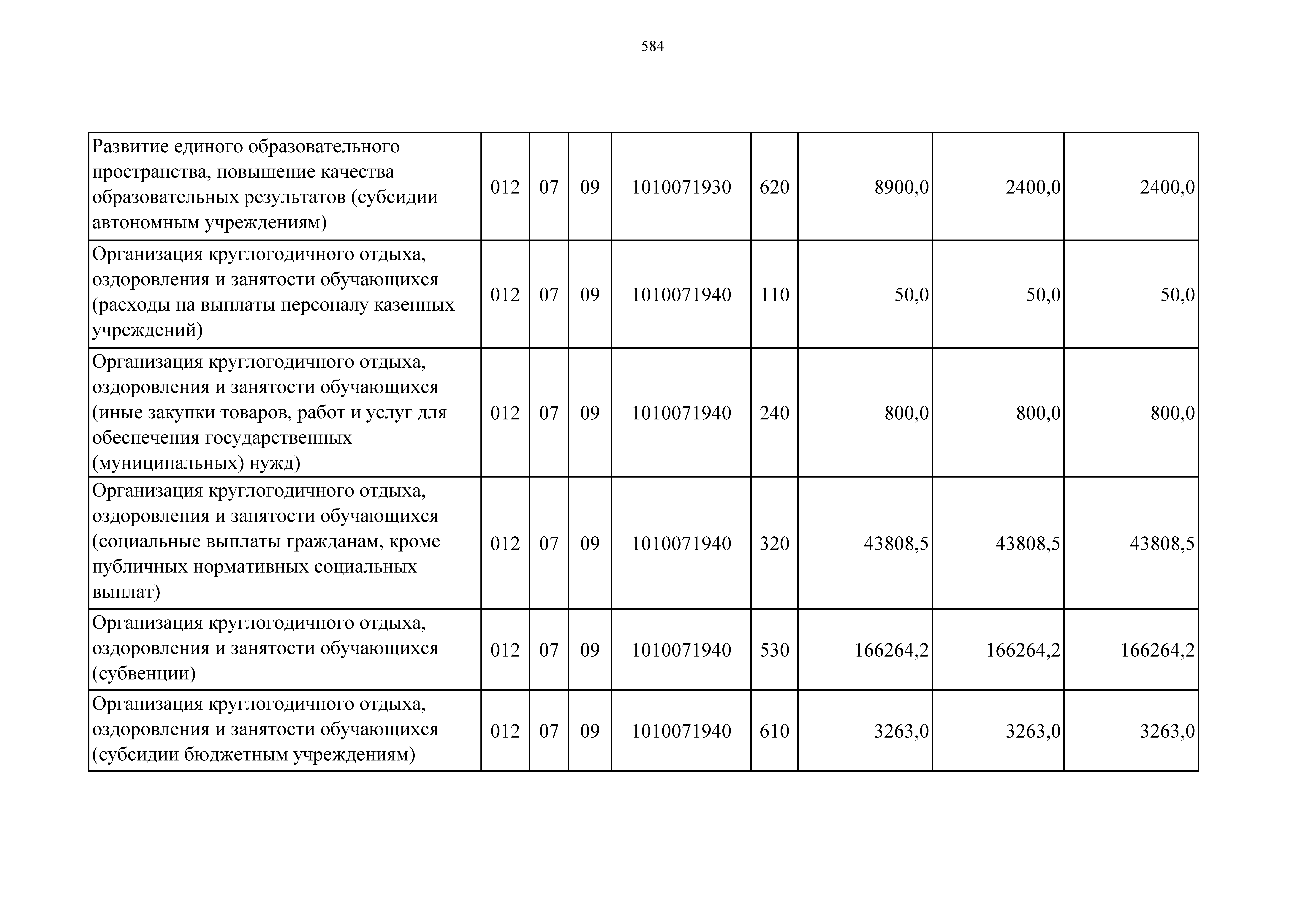
Закон Кемеровской области - Кузбасса от 24.05.2022 № 51-ОЗ
"О внесении изменений в Закон Кемеровской области – Кузбасса "Об областном бюджете на 2022 год и на плановый период 2023 и 2024 годов"
Номер опубликования: 4200202205300005
Дата опубликования: 30.05.2022
Страница №584 из 1015: