Официальное опубликование правовых актов
ОФИЦИАЛЬНОЕ ОПУБЛИКОВАНИЕ
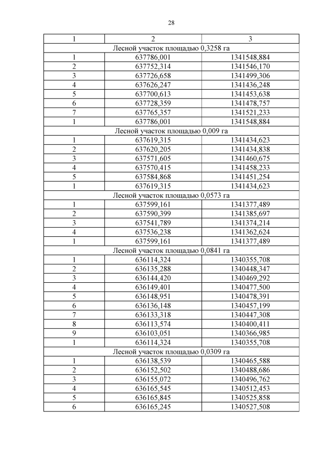
Постановление Правительства Кемеровской области - Кузбасса от 15.06.2022 № 374
"Об изменении площадей и границ земель, на которых расположены леса, указанные в пункте 3 части 1 статьи 114 Лесного кодекса Российской Федерации, Кемеровского и Юргинского лесничеств Кемеровской области - Кузбасса"
Номер опубликования: 4200202206200008
Дата опубликования: 20.06.2022
Страница №28 из 62:
Увеличить