Официальное опубликование правовых актов
ОФИЦИАЛЬНОЕ ОПУБЛИКОВАНИЕ
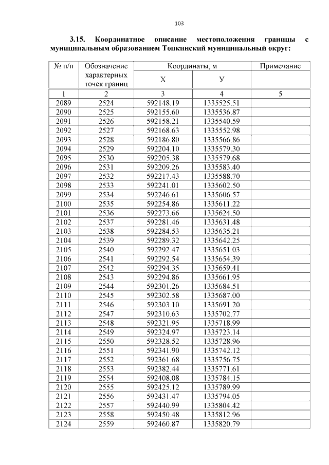
Закон Кемеровской области - Кузбасса от 07.07.2022 № 77-ОЗ
"О внесении изменения в приложение 1-1 к Закону Кемеровской области "О статусе и границах муниципальных образований"
Номер опубликования: 4200202207120007
Дата опубликования: 12.07.2022
Страница №103 из 298:
Увеличить