Официальное опубликование правовых актов
ОФИЦИАЛЬНОЕ ОПУБЛИКОВАНИЕ
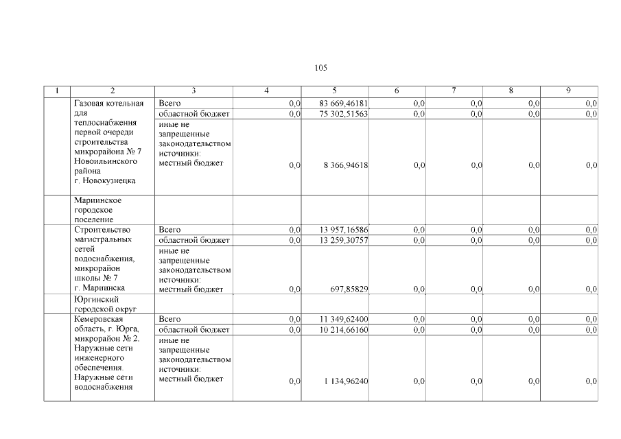
Постановление Правительства Кемеровской области - Кузбасса от 23.08.2022 № 550
"О внесении изменений в постановление Коллегии Администрации Кемеровской области от 25.10.2013 № 461 "Об утверждении государственной программы Кемеровской области - Кузбасса "Жилищная и социальная инфраструктура Кузбасса" на 2014-2024 годы"
Номер опубликования: 4200202208260002
Дата опубликования: 26.08.2022
Страница №105 из 280:
Увеличить