Официальное опубликование правовых актов
ОФИЦИАЛЬНОЕ ОПУБЛИКОВАНИЕ
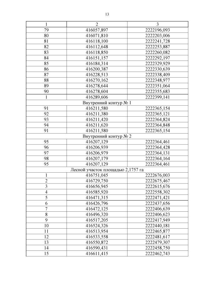
Постановление Правительства Кемеровской области - Кузбасса от 25.08.2022 № 568
"Об изменении площадей и границ земель, на которых расположены леса, указанные в пункте 3 части 1 статьи 114 Лесного кодекса Российской Федерации, Кузедеевского лесничества Кемеровской области - Кузбасса"
Номер опубликования: 4200202208300005
Дата опубликования: 30.08.2022
Страница №13 из 18:
Увеличить