Официальное опубликование правовых актов
ОФИЦИАЛЬНОЕ ОПУБЛИКОВАНИЕ
Постановление Правительства Кемеровской области - Кузбасса от 29.08.2022 № 579
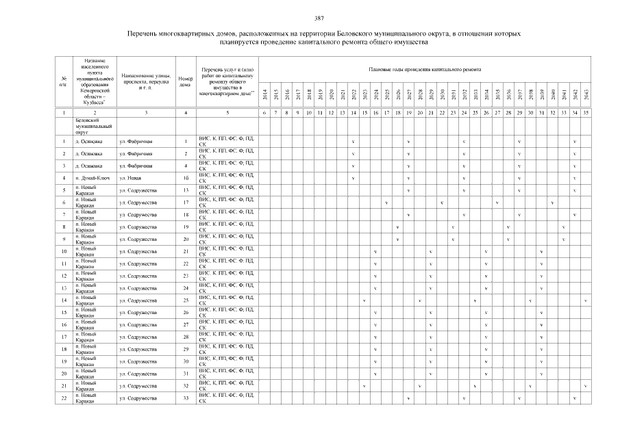
"О внесении изменений в постановление Коллегии Администрации Кемеровской области от 30.12.2013 № 672 "Об утверждении региональной программы капитального ремонта общего имущества в многоквартирных домах Кемеровской области – Кузбасса на 2014-2043 годы"
Номер опубликования: 4200202209020002
Дата опубликования: 02.09.2022
Страница №387 из 485: