Официальное опубликование правовых актов
ОФИЦИАЛЬНОЕ ОПУБЛИКОВАНИЕ
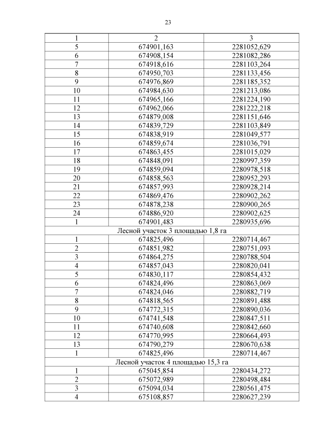
Постановление Правительства Кемеровской области - Кузбасса от 06.09.2022 № 608
"Об изменении площадей и границ земель, на которых расположены леса, указанные в пункте 3 части 1 статьи 114 Лесного кодекса Российской Федерации, Тисульского лесничества Кемеровской области - Кузбасса"
Номер опубликования: 4200202209090008
Дата опубликования: 09.09.2022
Страница №23 из 26:
Увеличить