Официальное опубликование правовых актов
ОФИЦИАЛЬНОЕ ОПУБЛИКОВАНИЕ
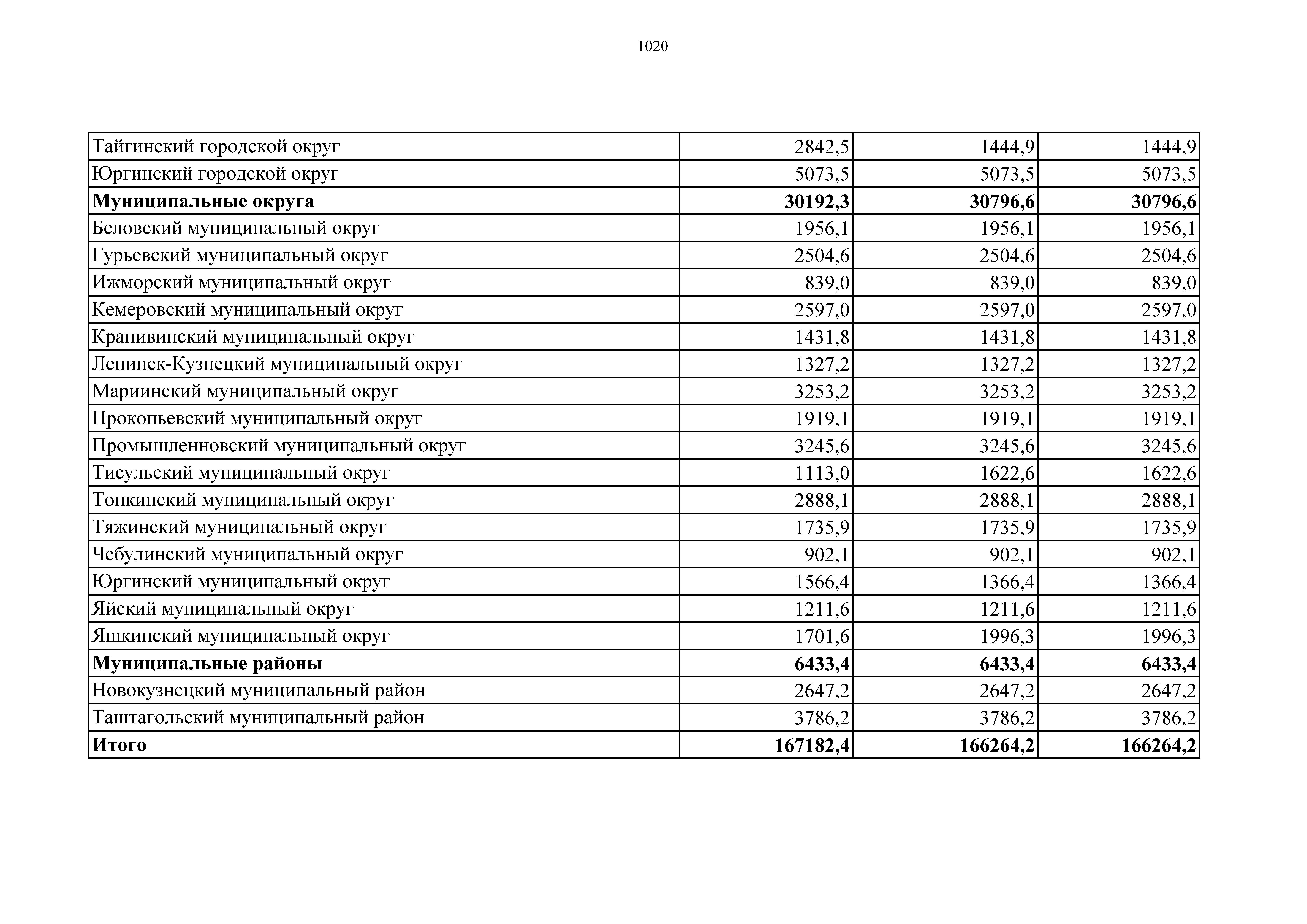
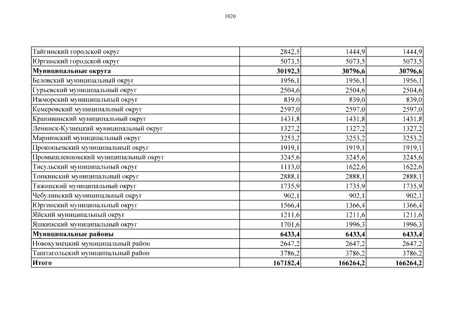
Закон Кемеровской области - Кузбасса от 20.09.2022 № 96-ОЗ
"О внесении изменений в Закон Кемеровской области – Кузбасса "Об областном бюджете на 2022 год и на плановый период 2023 и 2024 годов"
Номер опубликования: 4200202209270002
Дата опубликования: 27.09.2022
Страница №1020 из 1075: