Официальное опубликование правовых актов
ОФИЦИАЛЬНОЕ ОПУБЛИКОВАНИЕ
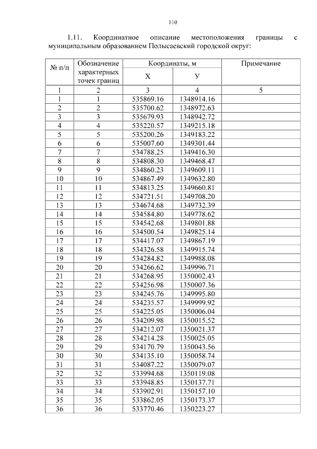
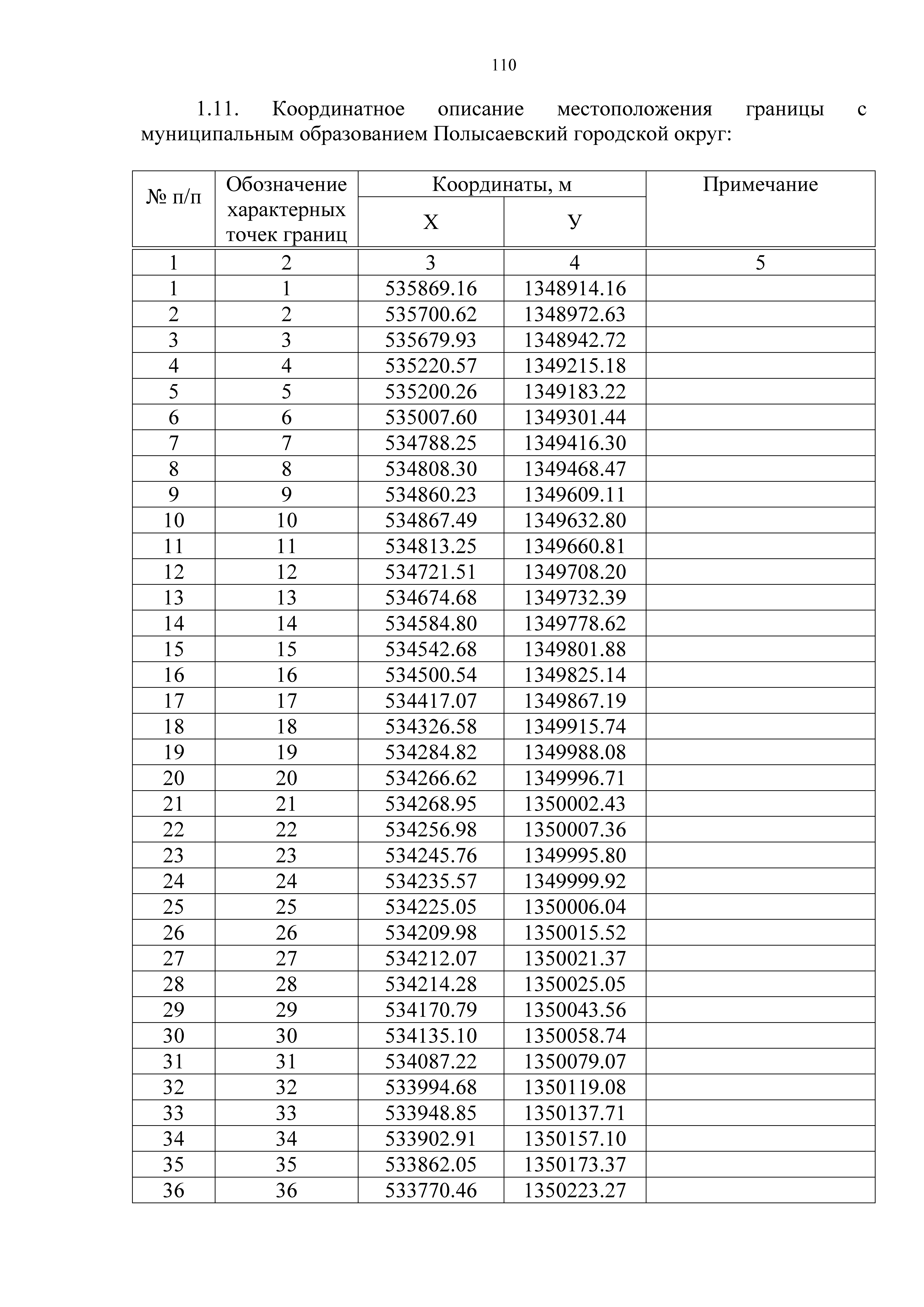
Закон Кемеровской области - Кузбасса от 03.11.2022 № 127-ОЗ
"О внесении изменений в Закон Кемеровской области "О статусе и границах муниципальных образований"
Номер опубликования: 4200202211080003
Дата опубликования: 08.11.2022
Страница №110 из 248: