Официальное опубликование правовых актов
ОФИЦИАЛЬНОЕ ОПУБЛИКОВАНИЕ
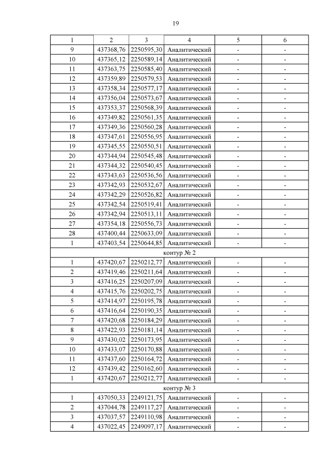
Постановление Правительства Кемеровской области - Кузбасса от 09.11.2022 № 738
"Об изменении площадей и границ земель, на которых расположены леса, указанные в пункте 3 части 1 статьи 114 Лесного кодекса Российской Федерации, Мысковского лесничества Кемеровской области - Кузбасса"
Номер опубликования: 4200202211140007
Дата опубликования: 14.11.2022
Страница №19 из 32:
Увеличить