Официальное опубликование правовых актов
ОФИЦИАЛЬНОЕ ОПУБЛИКОВАНИЕ
Постановление Правительства Кемеровской области - Кузбасса от 15.11.2022 № 749
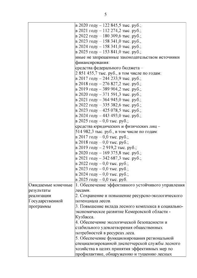
"О внесении изменений в постановление Коллегии Администрации Кемеровской области от 08.11.2016 № 430 "Об утверждении государственной программы Кемеровской области - Кузбасса "Охрана, защита, воспроизводство, использование лесов и объектов животного мира Кузбасса" на 2017-2024 годы"
Номер опубликования: 4200202211180007
Дата опубликования: 18.11.2022
Страница №5 из 61:
Увеличить