Официальное опубликование правовых актов
ОФИЦИАЛЬНОЕ ОПУБЛИКОВАНИЕ
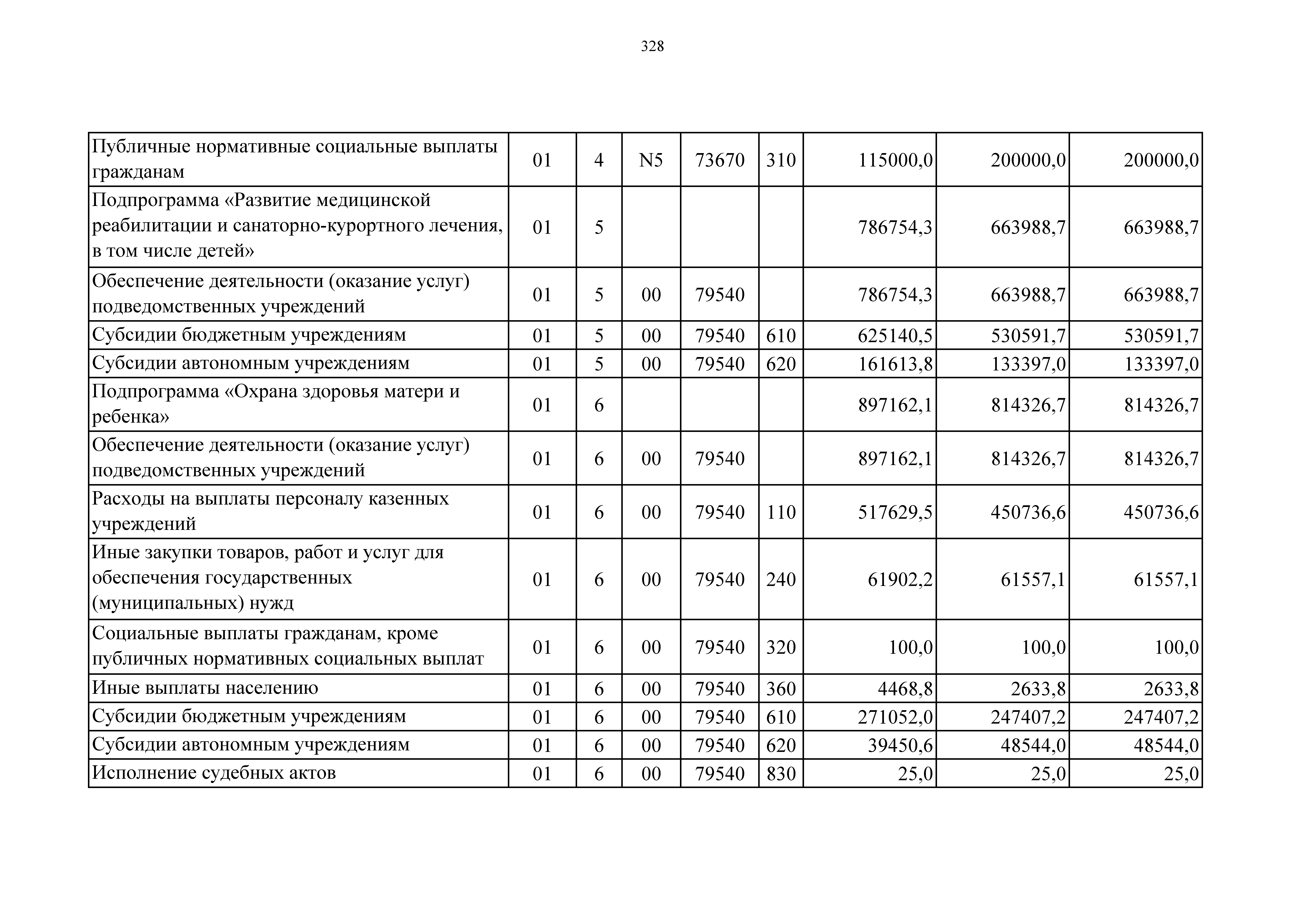
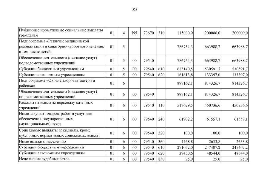
Закон Кемеровской области - Кузбасса от 30.11.2022 № 133-ОЗ
"О внесении изменений в Закон Кемеровской области – Кузбасса "Об областном бюджете на 2022 год и на плановый период 2023 и 2024 годов"
Номер опубликования: 4200202212070010
Дата опубликования: 07.12.2022
Страница №328 из 1201: