Официальное опубликование правовых актов
ОФИЦИАЛЬНОЕ ОПУБЛИКОВАНИЕ
Закон Кемеровской области - Кузбасса от 15.12.2022 № 145-ОЗ
"Об областном бюджете на 2023 годи на плановый период 2024 и 2025 годов"
Номер опубликования: 4200202212200001
Дата опубликования: 20.12.2022
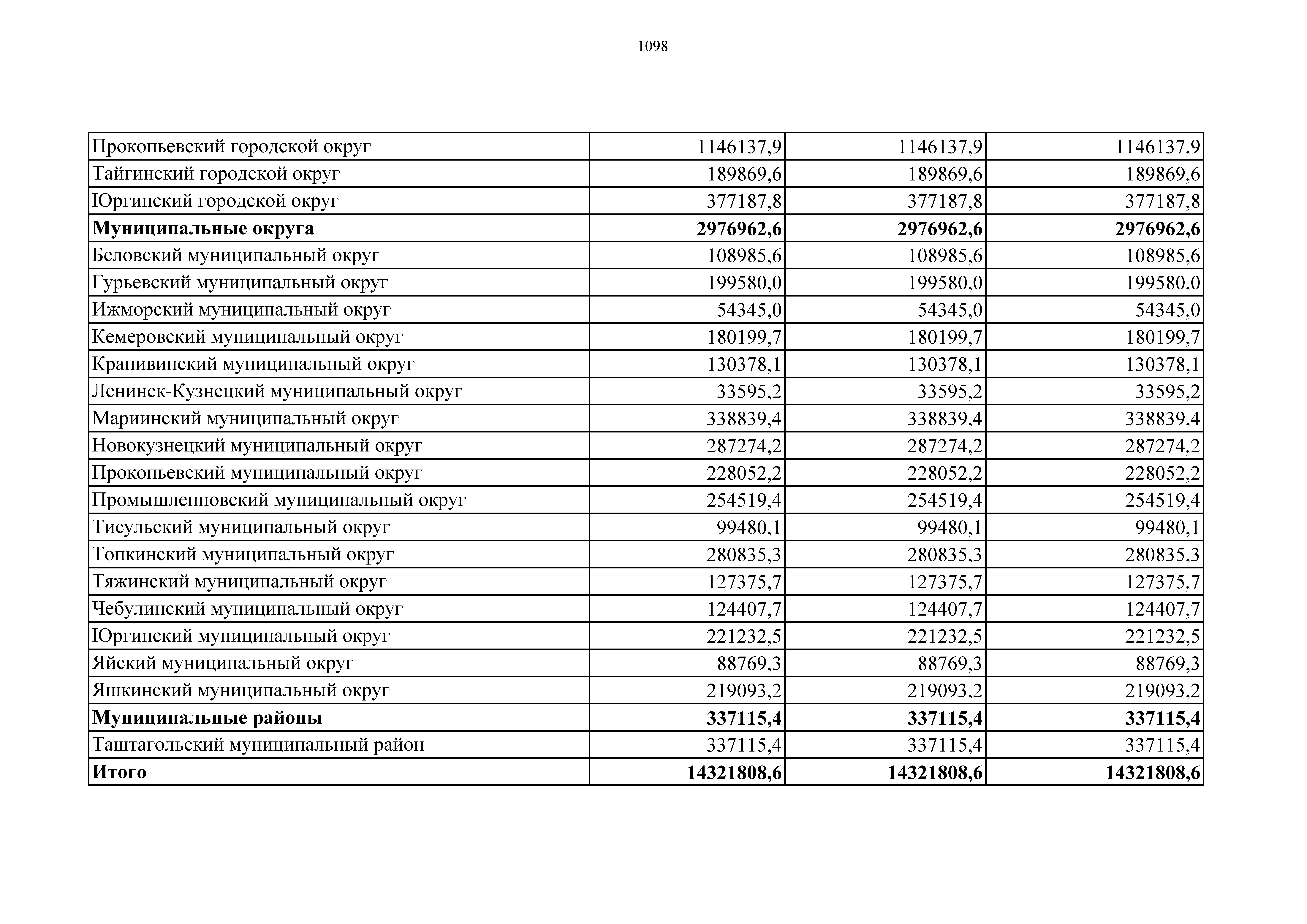
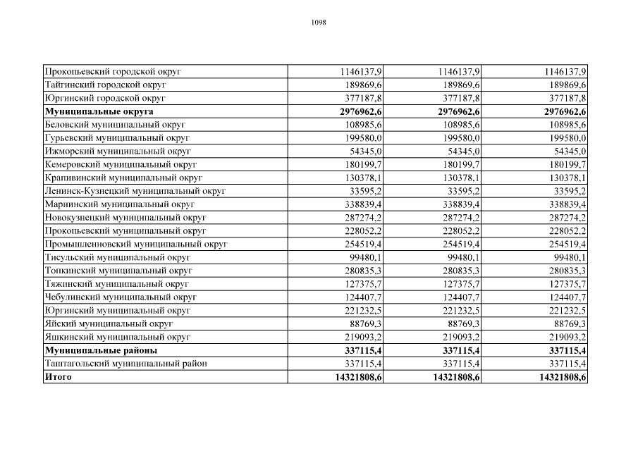
Страница №1098 из 1189: