Официальное опубликование правовых актов
ОФИЦИАЛЬНОЕ ОПУБЛИКОВАНИЕ
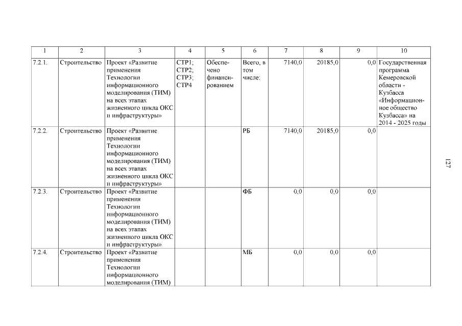
Постановление Правительства Кемеровской области - Кузбасса от 30.12.2022 № 919
"Об утверждении Программы цифровой трансформации Кемеровской области — Кузбасса"
Номер опубликования: 4200202301040012
Дата опубликования: 04.01.2023
Страница №127 из 173:
Увеличить