Официальное опубликование правовых актов
ОФИЦИАЛЬНОЕ ОПУБЛИКОВАНИЕ
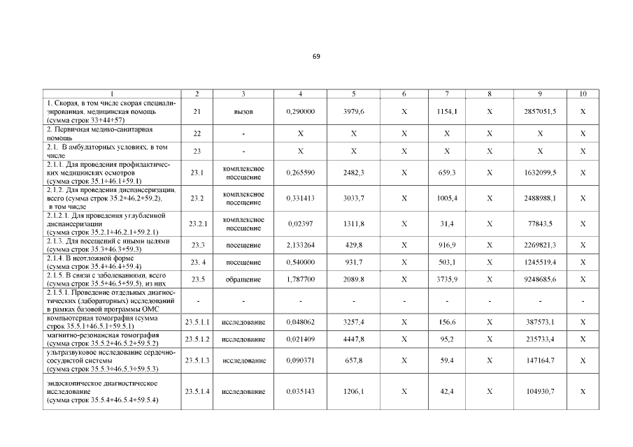
Постановление Правительства Кемеровской области - Кузбасса от 30.12.2022 № 917
"Об утверждении Территориальной программы государственных гарантий бесплатного оказания гражданам медицинской помощи на 2023 год и на плановый период 2024 и 2025 годов"
Номер опубликования: 4200202301040024
Дата опубликования: 04.01.2023
Страница №69 из 167:
Увеличить