Официальное опубликование правовых актов
ОФИЦИАЛЬНОЕ ОПУБЛИКОВАНИЕ
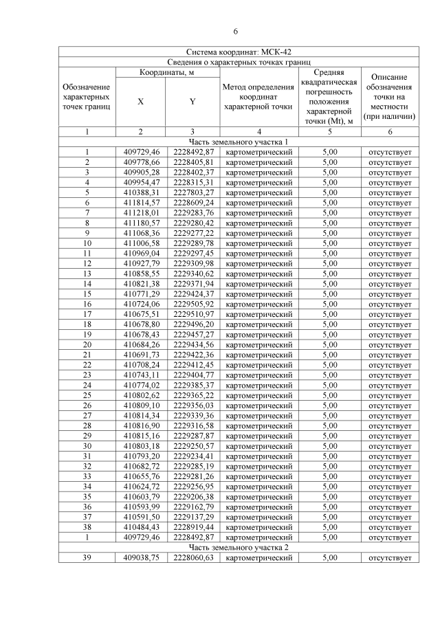
Постановление Правительства Кемеровской области - Кузбасса от 10.02.2023 № 70
"О внесении изменений в постановление Правительства Кемеровской области — Кузбасса от 17.08.2022 № 537 "Об изменении площадей и границ земель, на которых расположены леса, указанные в пункте 3 части 1 статьи 114 Лесного кодекса Российской Федерации, Кузедеевского лесничества Кемеровской области - Кузбасса"
Номер опубликования: 4200202302150004
Дата опубликования: 15.02.2023
Страница №6 из 7:
Увеличить