Официальное опубликование правовых актов
ОФИЦИАЛЬНОЕ ОПУБЛИКОВАНИЕ
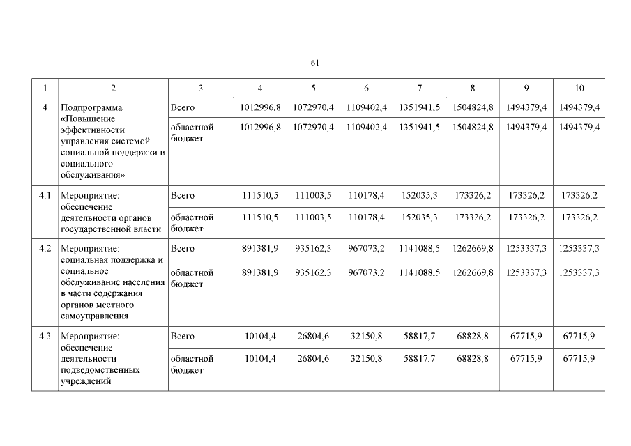
Постановление Правительства Кемеровской области - Кузбасса от 23.03.2023 № 162
"О внесении изменений в постановление Коллегии Администрации Кемеровской области от 25.10.2013 № 468 "Об утверждении государственной программы Кемеровской области - Кузбасса "Социальная поддержка населения Кузбасса" на 2014 - 2025 годы"
Номер опубликования: 4200202303270006
Дата опубликования: 27.03.2023
Страница №61 из 116:
Увеличить