Официальное опубликование правовых актов
ОФИЦИАЛЬНОЕ ОПУБЛИКОВАНИЕ
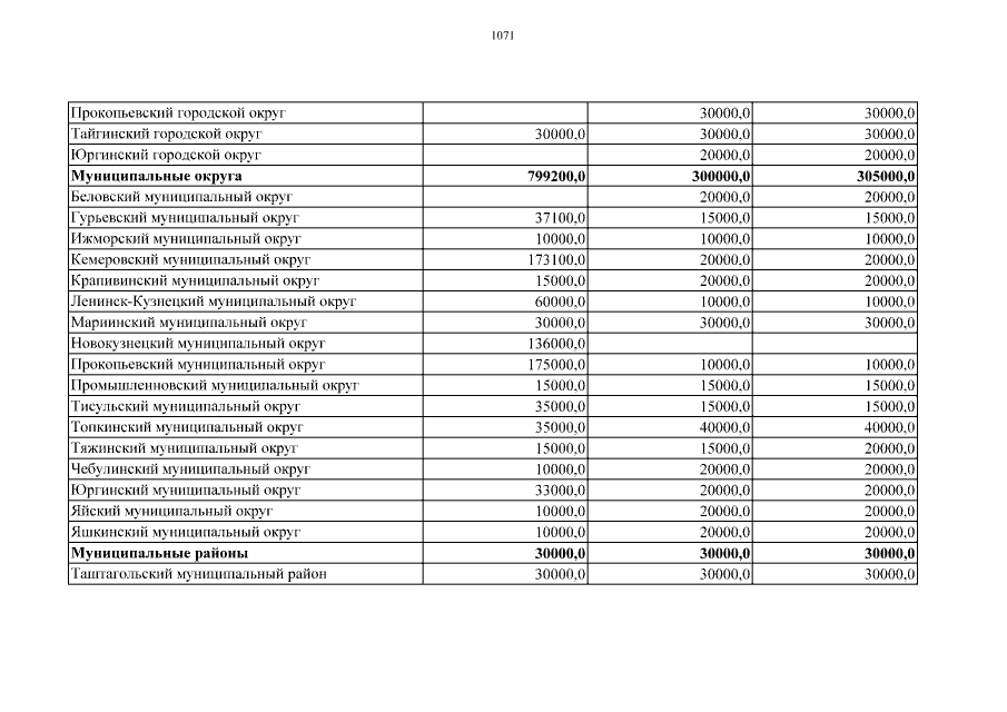
Закон Кемеровской области - Кузбасса от 27.03.2023 № 12-ОЗ
"О внесении изменений в Закон Кемеровской области – Кузбасса "Об областном бюджете на 2023 год и на плановый период 2024 и 2025 годов"
Номер опубликования: 4200202303290001
Дата опубликования: 29.03.2023
Страница №1071 из 1173: