Официальное опубликование правовых актов
ОФИЦИАЛЬНОЕ ОПУБЛИКОВАНИЕ
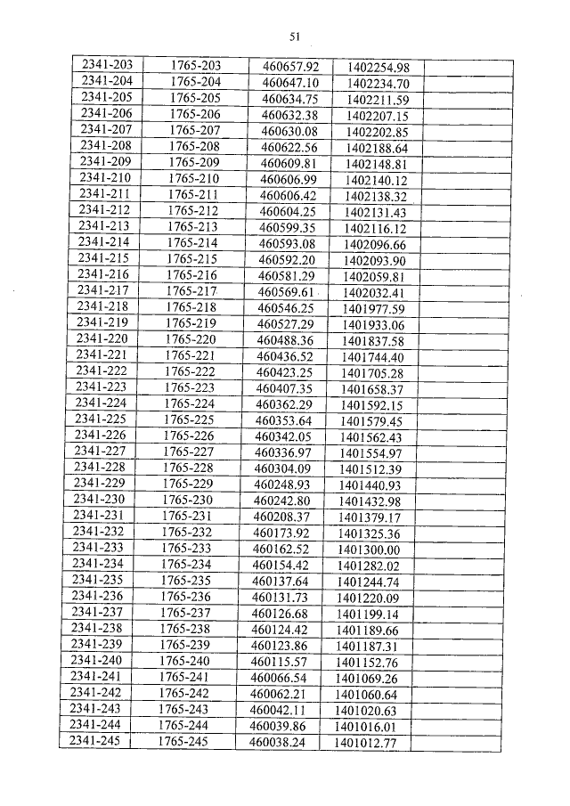
Закон Кемеровской области - Кузбасса от 24.04.2023 № 29-ОЗ
"О внесении изменений в приложение 1-1 к Закону Кемеровской области "О статусе и границах муниципальных образований"
Номер опубликования: 4200202304270004
Дата опубликования: 27.04.2023
Страница №51 из 63:
Увеличить