Официальное опубликование правовых актов
ОФИЦИАЛЬНОЕ ОПУБЛИКОВАНИЕ
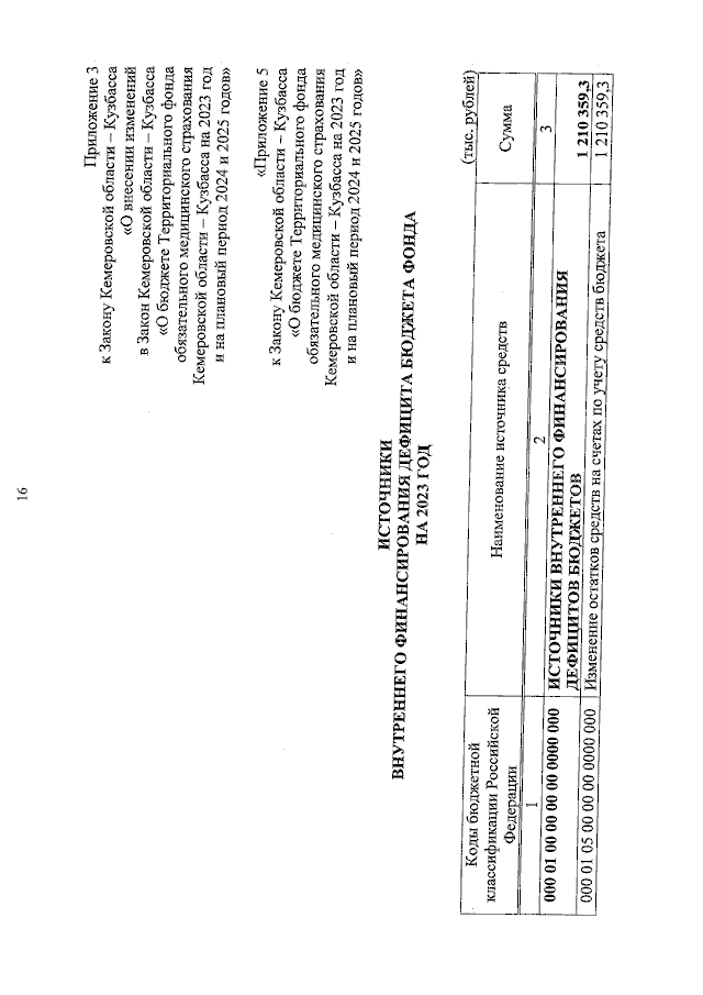
Закон Кемеровской области - Кузбасса от 31.05.2023 № 43-ОЗ
"О внесении изменений в Закон Кемеровской области – Кузбасса "О бюджете Территориального фонда обязательного медицинского страхования Кемеровской области – Кузбасса на 2023 год и на плановый период 2024 и 2025 годов"
Номер опубликования: 4200202306020002
Дата опубликования: 02.06.2023
Страница №16 из 17:
Увеличить