Официальное опубликование правовых актов
ОФИЦИАЛЬНОЕ ОПУБЛИКОВАНИЕ
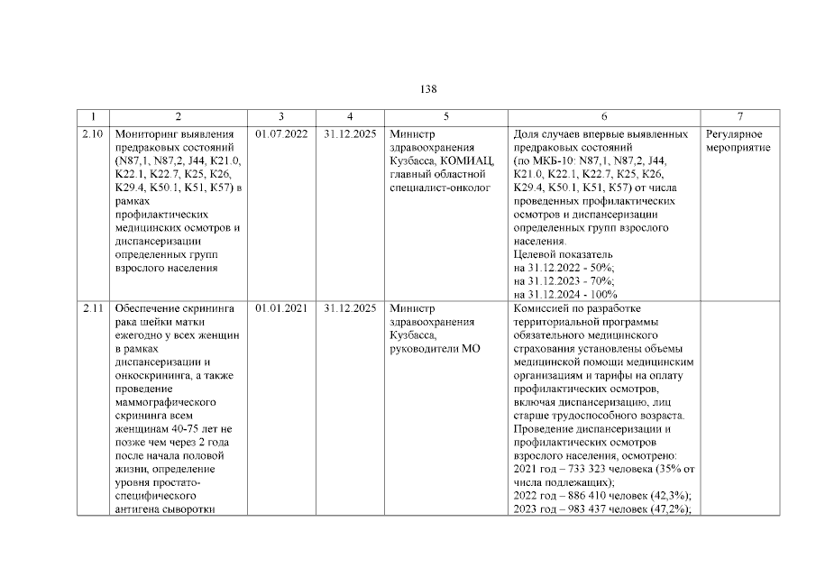
Постановление Правительства Кемеровской области - Кузбасса от 31.05.2023 № 334
"О внесении изменений в постановление Правительства Кемеровской области - Кузбасса от 27.06.2019 № 385 "Об утверждении региональной программы "Борьба с онкологическими заболеваниями на 2019 - 2024 годы"
Номер опубликования: 4200202306090016
Дата опубликования: 09.06.2023
Страница №138 из 178:
Увеличить