Официальное опубликование правовых актов
ОФИЦИАЛЬНОЕ ОПУБЛИКОВАНИЕ
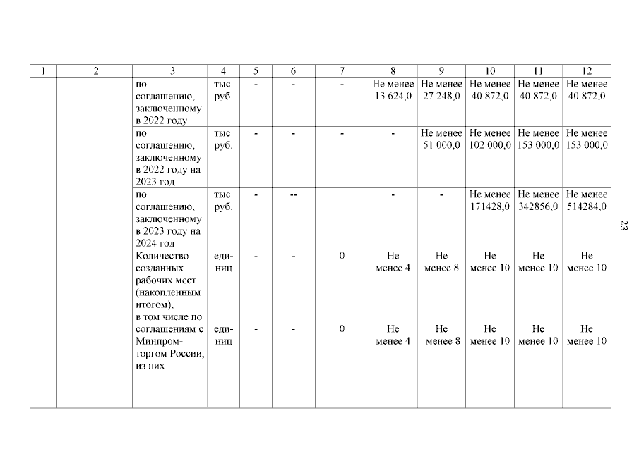
Постановление Правительства Кемеровской области - Кузбасса от 08.06.2023 № 367
"О внесении изменений в постановление Коллегии Администрации Кемеровской области от 28.09.2018 № 407 "Об утверждении государственной программы Кемеровской области — Кузбасса "Развитие промышленности Кузбасса" на 2019 — 2025 годы"
Номер опубликования: 4200202306130002
Дата опубликования: 13.06.2023
Страница №23 из 65:
Увеличить