Официальное опубликование правовых актов
ОФИЦИАЛЬНОЕ ОПУБЛИКОВАНИЕ
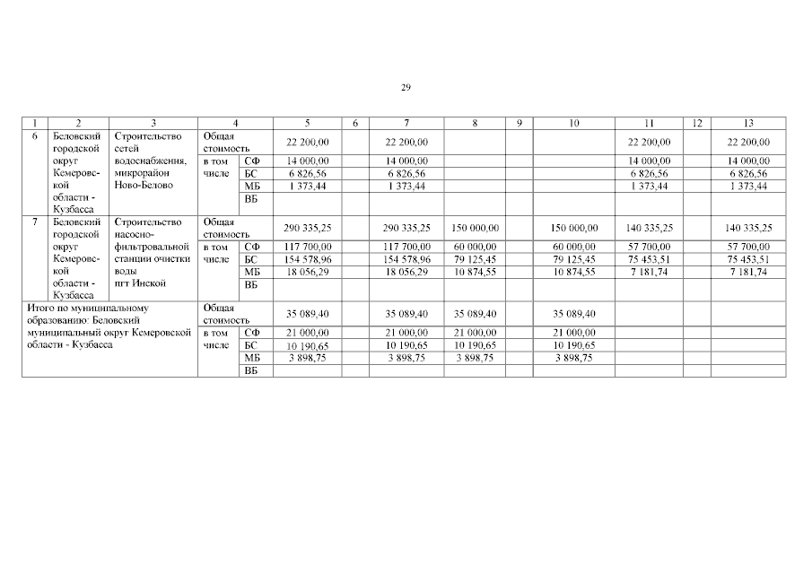
Постановление Правительства Кемеровской области - Кузбасса от 14.06.2023 № 385
"Об утверждении региональной программы "Модернизация систем коммунальной инфраструктуры Кемеровской области — Кузбасса" на 2023 — 2027 годы"
Номер опубликования: 4200202306190001
Дата опубликования: 19.06.2023
Страница №29 из 53:
Увеличить