Официальное опубликование правовых актов
ОФИЦИАЛЬНОЕ ОПУБЛИКОВАНИЕ
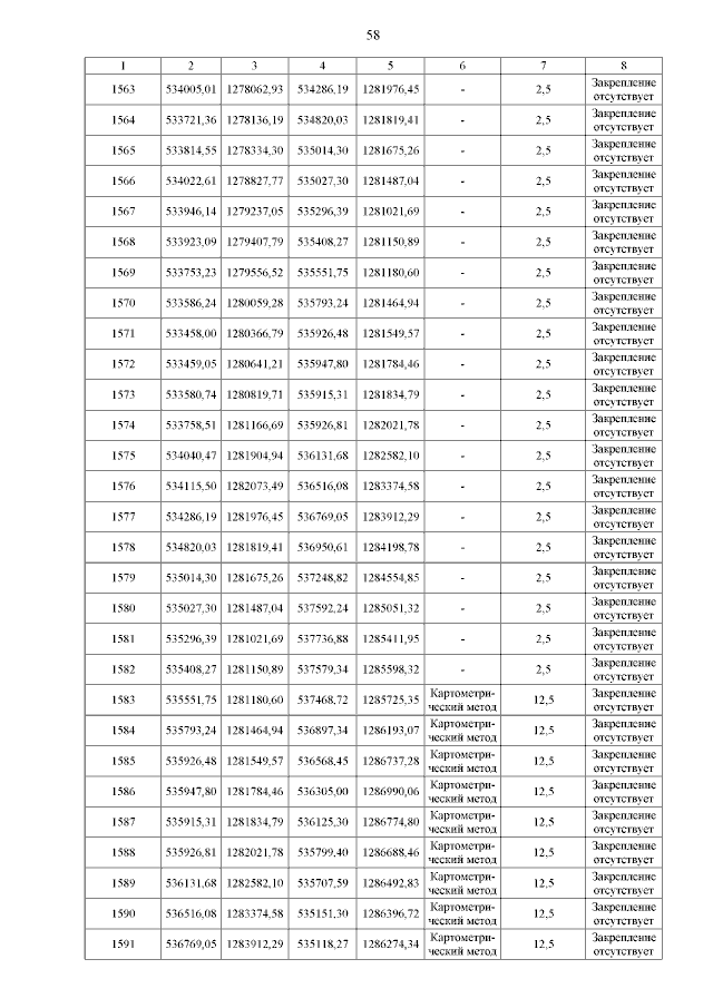
Постановление Правительства Кемеровской области - Кузбасса от 16.06.2023 № 394
"О внесении изменений в постановление Коллегии Администрации Кемеровской области от 14.10.2009 № 412 "О государственных природных заказниках Кемеровской области — Кузбасса"
Номер опубликования: 4200202306210006
Дата опубликования: 21.06.2023
Страница №58 из 77:
Увеличить