Официальное опубликование правовых актов
ОФИЦИАЛЬНОЕ ОПУБЛИКОВАНИЕ
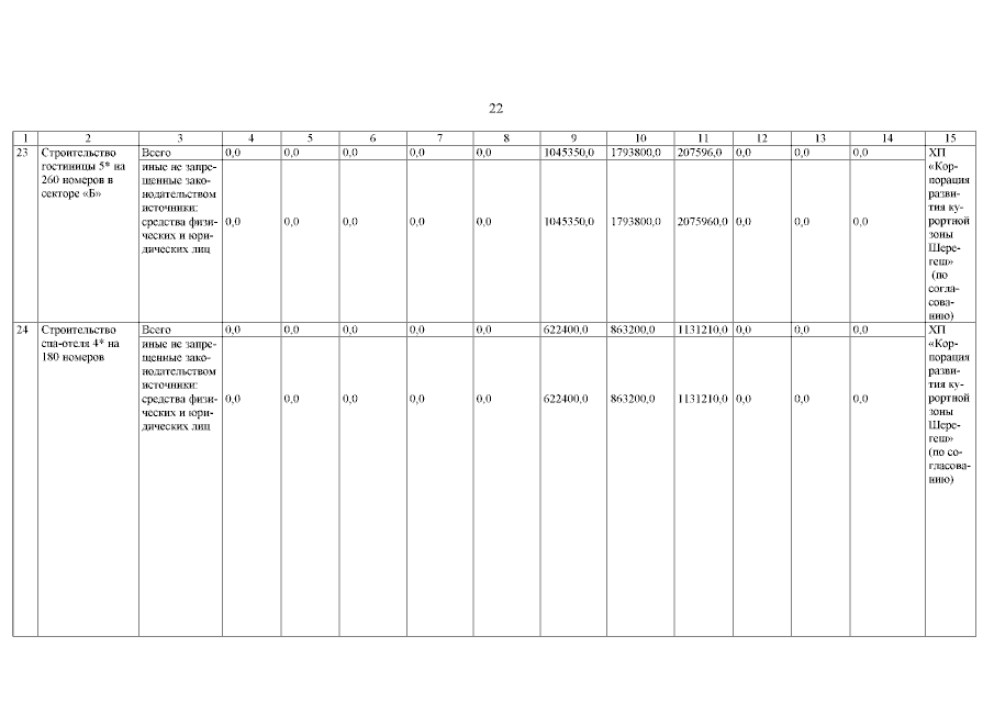
Постановление Правительства Кемеровской области - Кузбасса от 30.06.2023 № 435
"О внесении изменений в постановление Правительства Кемеровской области — Кузбасса от 22.04.2020 № 249 "О комплексной программе Кемеровской области - Кузбасса "Развитие спортивно-туристического комплекса "Шерегеш" на 2020 - 2025 годы"
Номер опубликования: 4200202307040002
Дата опубликования: 04.07.2023
Страница №22 из 75:
Увеличить