Официальное опубликование правовых актов
ОФИЦИАЛЬНОЕ ОПУБЛИКОВАНИЕ
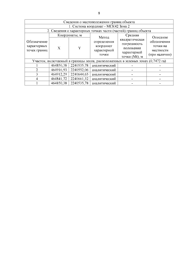
Постановление Правительства Кемеровской области - Кузбасса от 24.07.2023 № 488
"Об изменении площадей и границ земель, на которых расположены леса, указанные в пункте 3 и 4 части 1 статьи 114 Лесного кодекса Российской Федерации, Новокузнецкого лесничества Кемеровской области - Кузбасса"
Номер опубликования: 4200202307280001
Дата опубликования: 28.07.2023
Страница №8 из 17:
Увеличить