Официальное опубликование правовых актов
ОФИЦИАЛЬНОЕ ОПУБЛИКОВАНИЕ
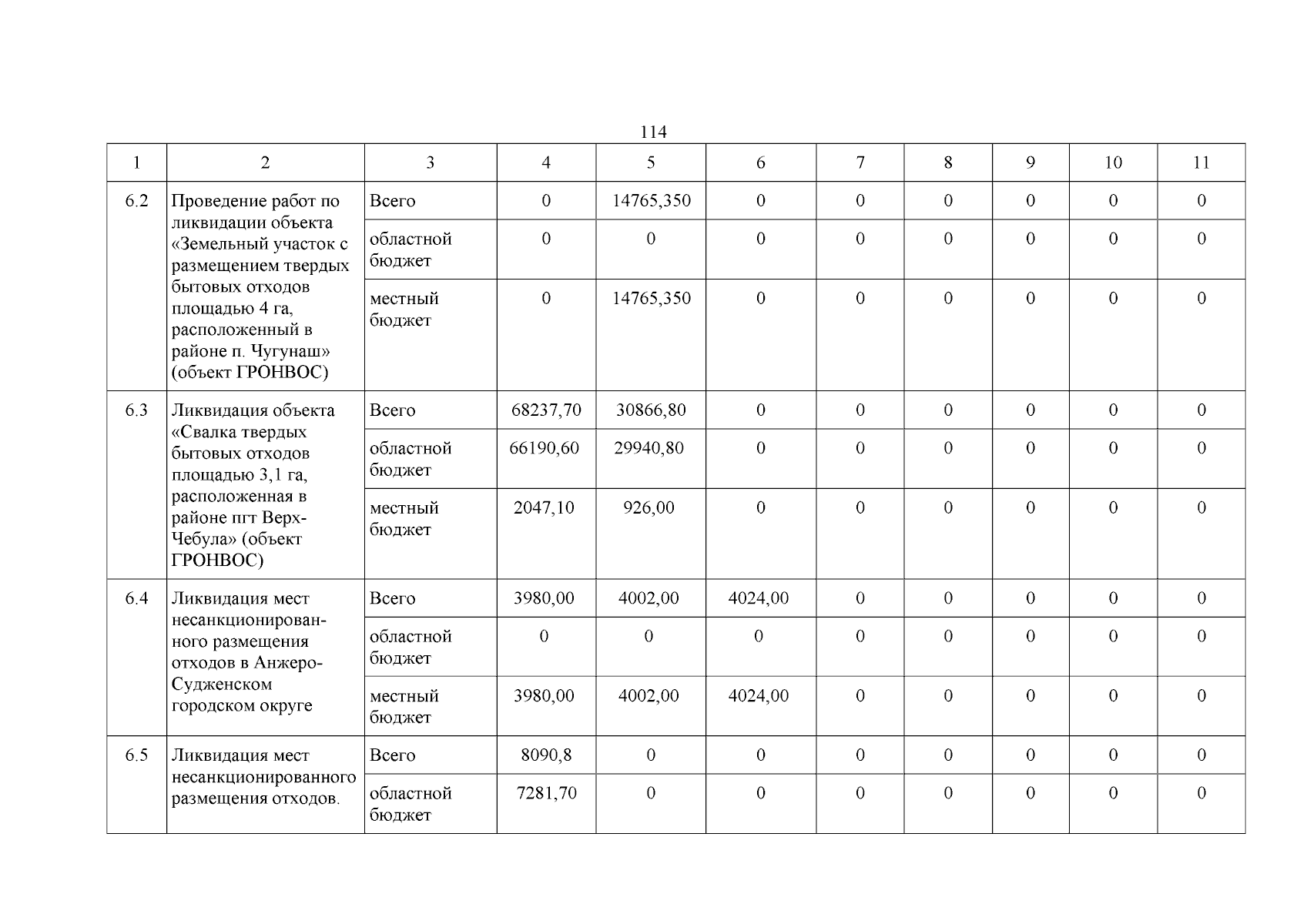
Постановление Правительства Кемеровской области - Кузбасса от 23.08.2023 № 544
"Об утверждении комплексной региональной программы "Обращение с отходами производства и потребления, в том числе твердыми коммунальными отходами, Кемеровской области — Кузбасса" на 2023 — 2030 годы"
Номер опубликования: 4200202308280006
Дата опубликования: 28.08.2023
Страница №114 из 152:
Увеличить