Официальное опубликование правовых актов
ОФИЦИАЛЬНОЕ ОПУБЛИКОВАНИЕ
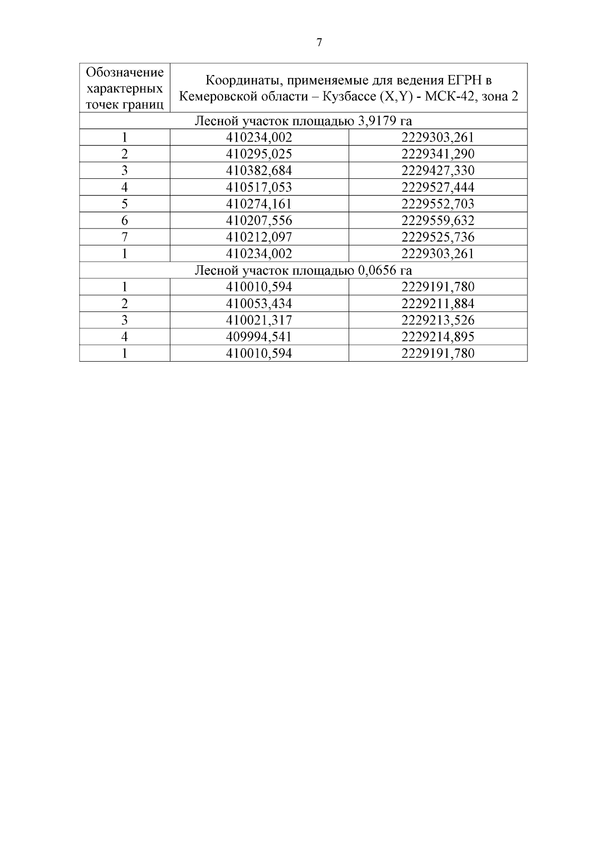
Постановление Правительства Кемеровской области - Кузбасса от 24.08.2023 № 545
"Об изменении площадей и границ земель, на которых расположены леса, указанные в пункте 3 части 1 статьи 114 Лесного кодекса Российской Федерации, Кузедеевского лесничества Кемеровской области - Кузбасса"
Номер опубликования: 4200202308280008
Дата опубликования: 28.08.2023
Страница №7 из 11:
Увеличить