Официальное опубликование правовых актов
ОФИЦИАЛЬНОЕ ОПУБЛИКОВАНИЕ
Постановление Правительства Кемеровской области - Кузбасса от 25.08.2023 № 549
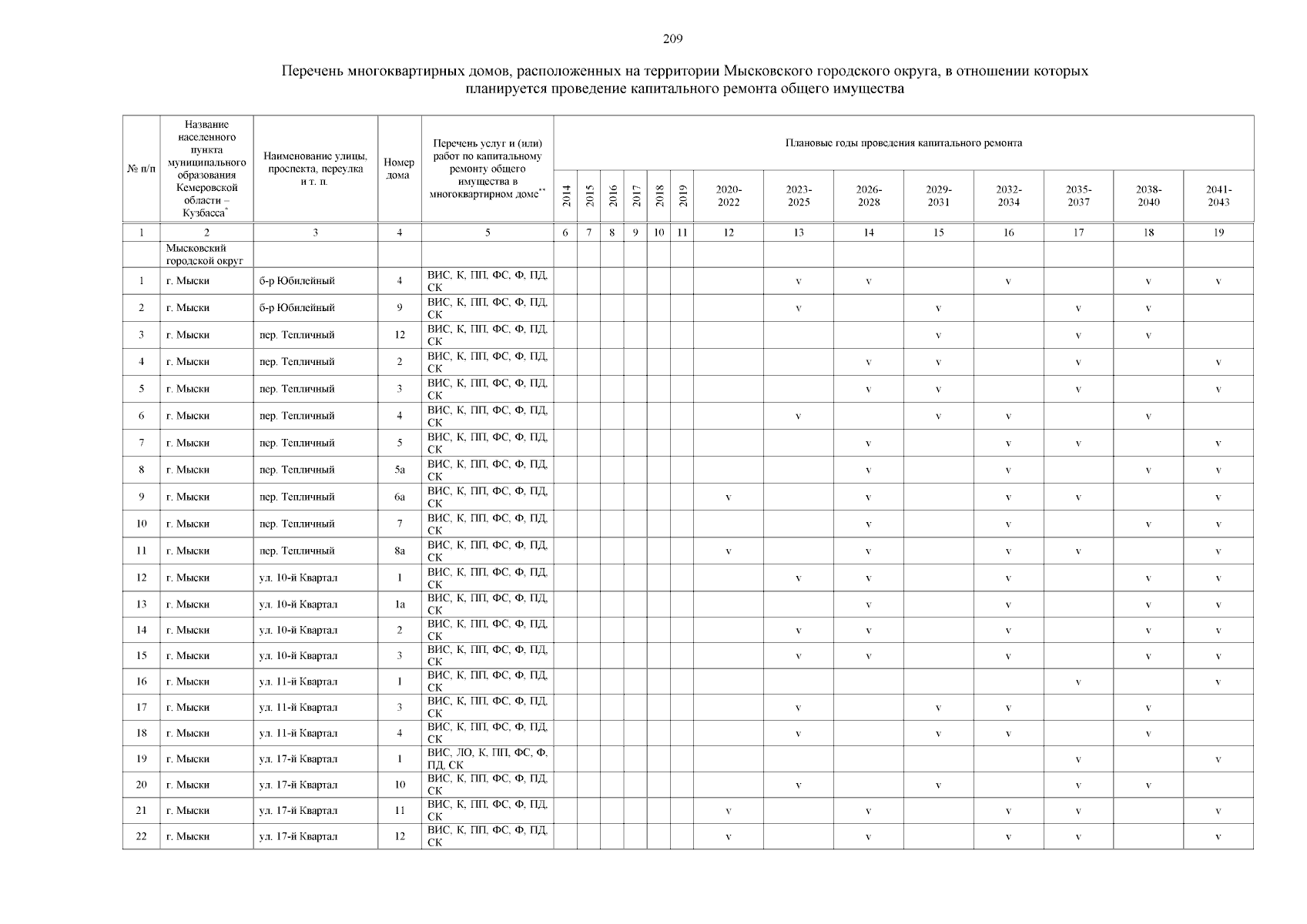
"О внесении изменений в постановление Коллегии Администрации Кемеровской области от 30.12.2013 № 672 "Об утверждении региональной программы капитального ремонта общего имущества в многоквартирных домах Кемеровской области — Кузбасса"
Номер опубликования: 4200202309010004
Дата опубликования: 01.09.2023
Страница №209 из 487:
Увеличить