Официальное опубликование правовых актов
ОФИЦИАЛЬНОЕ ОПУБЛИКОВАНИЕ
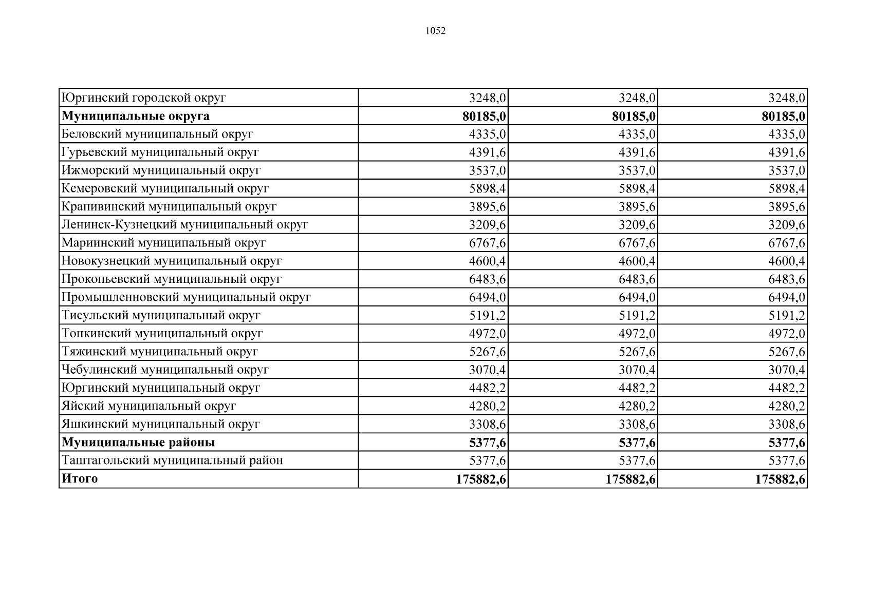
Закон Кемеровской области - Кузбасса от 14.12.2023 № 117-ОЗ
"Об областном бюджете на 2024 год и на плановый период 2025 и 2026 годов"
Номер опубликования: 4200202312210011
Дата опубликования: 21.12.2023
Страница №1052 из 1193: